Abstract:High-quality GPS trajectories are essential for location-based web services and smart city applications, including navigation, ride-sharing and delivery. However, due to low sampling rates and limited infrastructure coverage during data collection, real-world trajectories are often sparse and feature unevenly distributed location points. Recovering these trajectories into dense and continuous forms is essential but challenging, given their complex and irregular spatio-temporal patterns. In this paper, we introduce a novel diffusion model for trajectory recovery named TRACE, which reconstruct dense and continuous trajectories from sparse and incomplete inputs. At the core of TRACE, we propose a State Propagation Diffusion Model (SPDM), which integrates a novel memory mechanism, so that during the denoising process, TRACE can retain and leverage intermediate results from previous steps to effectively reconstruct those hard-to-recover trajectory segments. Extensive experiments on multiple real-world datasets show that TRACE outperforms the state-of-the-art, offering $>$26\% accuracy improvement without significant inference overhead. Our work strengthens the foundation for mobile and web-connected location services, advancing the quality and fairness of data-driven urban applications. Code is available at: https://github.com/JinmingWang/TRACE




Abstract:This paper proposes a new architecture for the low-earth orbit (LEO) satellite ground station aided by movable antenna (MA) array. Unlike conventional fixed-position antenna (FPA), the MA array can flexibly adjust antenna positions to reconfigure array geometry, for more effectively mitigating interference and improving communication performance in ultra-dense LEO satellite networks. To reduce movement overhead, we configure antenna positions at the antenna initialization stage, which remain unchanged during the whole communication period of the ground station. To this end, an optimization problem is formulated to maximize the average achievable rate of the ground station by jointly optimizing its antenna position vector (APV) and time-varying beamforming weights, i.e., antenna weight vectors (AWVs). To solve the resulting non-convex optimization problem, we adopt the Lagrangian dual transformation and quadratic transformation to reformulate the objective function into a more tractable form. Then, we develop an efficient block coordinate descent-based iterative algorithm that alternately optimizes the APV and AWVs until convergence is reached. Simulation results demonstrate that our proposed MA scheme significantly outperforms traditional FPA by increasing the achievable rate at ground stations under various system setups, thus providing an efficient solution for interference mitigation in future ultra-dense LEO satellite communication networks.




Abstract:With the proliferation of location-aware devices, large amount of trajectories have been generated when agents such as people, vehicles and goods flow around the urban environment. These raw trajectories, typically collected from various sources such as GPS in cars, personal mobile devices, and public transport, are often sparse and fragmented due to limited sampling rates, infrastructure coverage and data loss. In this context, trajectory recovery aims to reconstruct such sparse raw trajectories into their dense and continuous counterparts, so that fine-grained movement of agents across space and time can be captured faithfully. Existing trajectory recovery approaches typically rely on the prior knowledge of travel mode or motion patterns, and often fail in densely populated urban areas where accurate maps are absent. In this paper, we present a new recovery framework called TrajWeaver based on probabilistic diffusion models, which is able to recover dense and refined trajectories from the sparse raw ones, conditioned on various auxiliary features such as Areas of Interest along the way, user identity and waybill information. The core of TrajWeaver is a novel State Propagation Diffusion Model (SPDM), which introduces a new state propagation mechanism on top of the standard diffusion models, so that knowledge computed in earlier diffusion steps can be reused later, improving the recovery performance while reducing the number of steps needed. Extensive experiments show that the proposed TrajWeaver can recover from raw trajectories of various lengths, sparsity levels and heterogeneous travel modes, and outperform the state-of-the-art baselines significantly in recovery accuracy. Our code is available at: https://anonymous.4open.science/r/TrajWeaver/




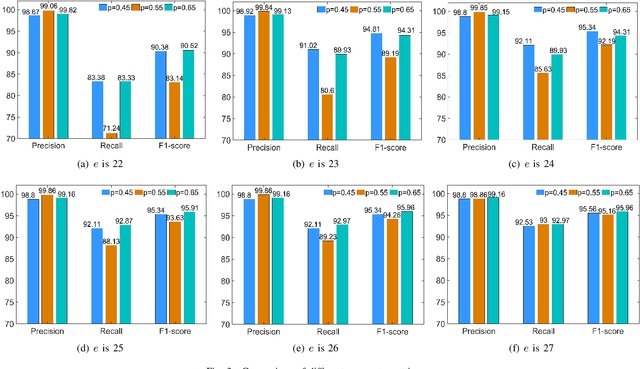
Abstract:Industrial control systems (ICSs) are facing increasing cyber-physical attacks that can cause catastrophes in the physical system. Efficient anomaly detection models in the industrial sensor networks are essential for enhancing ICS reliability and security, due to the sensor data is related to the operational state of the ICS. Considering the limited availability of computing resources, this paper proposes a hybrid anomaly detection approach in cloud-edge collaboration industrial sensor networks. The hybrid approach consists of sensor data detection models deployed at the edges and a sensor data analysis model deployed in the cloud. The sensor data detection model based on Gaussian and Bayesian algorithms can detect the anomalous sensor data in real-time and upload them to the cloud for further analysis, filtering the normal sensor data and reducing traffic load. The sensor data analysis model based on Graph convolutional network, Residual algorithm and Long short-term memory network (GCRL) can effectively extract the spatial and temporal features and then identify the attack precisely. The proposed hybrid anomaly detection approach is evaluated using a benchmark dataset and baseline anomaly detection models. The experimental results show that the proposed approach can achieve an overall 11.19% increase in Recall and an impressive 14.29% improvement in F1-score, compared with the existing models.