



Abstract:Reconfigurable intelligent surface (RIS)-empowered communication is a revolutionary technology that enables to manipulate wireless propagation environment via smartly controllable low-cost reflecting surfaces. However, in order to outperform conventional communication systems, an RIS-aided system with solely passive reflection requires an extremely large surface. To meet this challenge, the concept of active RIS, which performs simultaneous amplification and reflection on the incident signal at the expense of additional power consumption, has been recently introduced. In this paper, deploying an active RIS, we propose a novel beamforming concept, over-the-air beamforming, for RIS-aided multi-user multiple-input single-output (MISO) transmission schemes without requiring any pre/post signal processing hardware designs at the transmitter and receiver sides. In the proposed over-the-air beamforming-based transmission scheme, the reflection coefficients of the active RIS elements are customized to maximize the sum-rate gain. To tackle this issue, first, a non-convex quadratically constrained quadratic programming (QCQP) problem is formulated. Then, using semidefinite relaxation (SDR) approach, this optimization problem is converted to a convex feasibility problem, which is efficiently solved using the CVX optimization toolbox. Moreover, taking inspiration from this beamforming technique, a novel high-rate receive index modulation (IM) scheme with a low-complexity sub-optimal detector is developed. Through comprehensive simulation results, the sum-rate and bit error rate (BER) performance of the proposed designs are investigated.




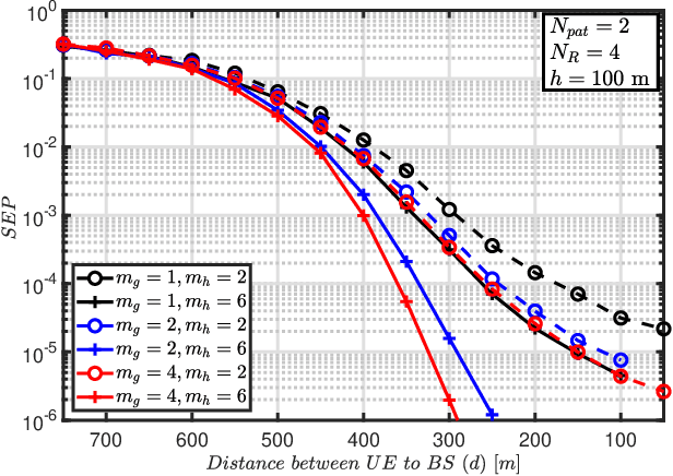
Abstract:Unmanned aerial vehicles (UAVs) have attracted significant interest from the academia and industry most recently. Motivated by the wide usage of UAVs, this paper considers UAV communication with reconfigurable antenna (RA) in the presence of fading and shadowing effects which occur due to tall buildings and skyscrapers in urban areas. More precisely, RA offers to receive information through mirror activation patterns (MAPs) so that it can achieve a receive diversity with decreased error probability by using only one radio frequency (RF) chain. Also, media based modulation (MBM) technique for data transmission with MAPs can be exploited by using RAs with reduced cost. To quantify the performance of the proposed UAV system, we derive a tight upper bound for the overall error probability by considering approximated channel model to the standardization studies for UAVs. The results have shown that RAs can make the overall system more resilient to shadowing and fading effects in terms of error performance, and they are energy efficient.




Abstract:Issues with tracking, precision pointing, and Doppler shift are the major sources of performance loss in laser inter-satellite communication that can severely decrease the coverage and overall performance of satellite constellations. As a solution to these problems, we propose a cooperation strategy in which a high altitude platform station (HAPS) staying at a quasi-stationary position contributes to the inter-satellite connectivity. In this setup, the HAPS node uses two different scheduling approaches: one that relies on the zenith angle; the other on instantaneous signal-to-noise ratio. To quantify the performance of the proposed scheme, overall outage probabilities for the two scheduling methods are obtained. In addition, guidelines for the design of practical inter-satellite networks are provided.




Abstract:In recent years, satellite communication (SatCom) systems have been widely used for navigation, broadcasting application, disaster recovery, weather sensing, and even spying on the Earth. As the number of satellites is highly increasing and with the radical revolution in wireless technology, eavesdropping on SatCom will be possible in next-generation networks. In this context, we introduce the satellite eavesdropping approach, where an eavesdropping satellite can intercept optical communications established between a low Earth orbit (LEO) satellite and a high altitude platform station (HAPS). Specifically, we propose two practical eavesdropping scenarios for satellite-to-HAPS (downlink) and HAPS-to-satellite (uplink) optical communications, where the eavesdropper satellite can eavesdrop on the transmitted signal or the received signal. To quantify the secrecy performance of the scenarios, the average secrecy capacity (ASC) and secrecy outage probability (SOP) expressions are derived and validated with Monte Carlo (MC) simulations. We observe that turbulence-induced fading significantly impacts the secrecy performance of free-space optical (FSO) communication.




Abstract:Reconfigurable intelligent surface (RIS)-empowered communication has emerged as a novel concept for customizing future wireless environments in a cost- and energy-efficient way. However, due to double path loss, existing fully passive RIS systems that purely reflect the incident signals into preferred directions attain an unsatisfactory performance improvement over the traditional wireless networks in certain conditions. To overcome this bottleneck, we propose a novel transmission scheme, named hybrid reflection modulation (HRM), exploiting both active and passive reflecting elements at the RIS and their combinations, which enables to convey information without using any radio frequency (RF) chains. In the HRM scheme, the active reflecting elements using additional power amplifiers are able to amplify and reflect the incoming signal, while the remaining passive elements can simply reflect the signals with appropriate phase shifts. Based on this novel transmission model, we obtain an upper bound for the average bit error probability (ABEP), and derive achievable rate of the system using an information theoretic approach. Moreover, comprehensive computer simulations are performed to prove the superiority of the proposed HRM scheme over existing fully passive, fully active and reflection modulation (RM) systems.




Abstract:Non-terrestrial networks have been attracting much interest from the industry and academia. Satellites and high altitude platform station (HAPS) systems are expected to be the key enablers of next-generation wireless networks. In this paper, we introduce a novel downlink satellite communication (SatCom) model where free-space optical (FSO) communication is used between a satellite and HAPS node, and a hybrid FSO/radio-frequency (RF) transmission model is used between the HAPS node and ground station (GS). In the first phase of transmission, the satellite selects the HAPS node that provides the highest signal-to-noise ratio (SNR). In the second phase, the selected HAPS decodes and forwards the signal to the GS. To evaluate the performance of the proposed system, outage probability expressions are derived for exponentiated Weibull (EW) and shadowed-Rician fading models while considering the atmospheric turbulence, stratospheric attenuation, and attenuation due to scattering, path loss, and pointing errors. Furthermore, the impact of aperture averaging, temperature, and wind speed are investigated. Finally, we provide some important guidelines that can be helpful for the design of practical HAPS-aided SatCom.




Abstract:Recent studies have shown that satellite communication (SatCom) will have a fundamental role in the next generation non-terrestrial networks (NTN). In SatCom, radio-frequency (RF) or free-space optical (FSO) communications can be used depending on the communication environment. Motivated by the complementary nature of RF and FSO communication, we propose a hybrid RF/FSO transmission strategy for SatCom, where the satellite selects RF or FSO link depending on the weather conditions obtained from the context-aware sensor. To quantify the performance of the proposed network, we derive the outage probability by considering different weather conditions. Furthermore, we investigate the impact of non-zero boresight pointing errors and illustrate the benefits of the aperture averaging to mitigate the effect of misalignment. Finally, we suggest effective design guidelines that can be useful for system designers. The results have shown that the proposed strategy performs better than the dual-mode conventional hybrid RF/FSO communication in terms of outage probability, offering almost 5 dB gain.




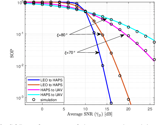
Abstract:In this work, we propose a new physical layer security framework for optical space networks. More precisely, we consider two practical eavesdropping scenarios: free-space optical (FSO) eavesdropping in the space and FSO eavesdropping in the air. In the former, we assume that a high altitude platform station (HAPS) is trying to capture the confidential information from the low earth orbit (LEO) satellite, whereas in the latter, an unmanned aerial vehicle (UAV) eavesdropper is trying to intercept the confidential information from the HAPS node. To quantify the overall performance of both scenarios, we obtain closed-form secrecy outage probability (SOP) and probability of positive secrecy capacity (PPSC) expressions and validate with Monte Carlo simulations. Furthermore, we provide important design guidelines that can be helpful in the design of secure non-terrestrial networks.




Abstract:Media-based modulation (MBM), exploiting rich scattering properties of transmission environments via different radiation patterns of a single reconfigurable antenna (RA), has brought new insights into future communication systems. In this study, considering this innovative transmission principle, we introduce the realistic, two-dimensional (2D), and open-source SimMBM channel simulator to support various applications of MBM systems at sub-6 GHz frequency band in different environments.