



Abstract:Reconfigurable intelligent surface (RIS) has emerged as a groundbreaking technology for 6G wireless communication networks, enabling cost-effective control over wireless propagation environment. By dynamically manipulating its codebook so as to deflect the direction of the reflected electromagnetic wave, RIS can achieve enhanced signal quality, extended coverage, and interference mitigation. This study presents experimental performance of ZTE Dynamic 2.0 RIS products through a series of real-world tests conducted on Turkcell's millimeter-wave (mmWave) testbed. The evaluation involves network coverage extension in urban areas, multi-user efficiency, and the integration of virtual reality technology to support immersive applications in next-generation 6G networks. Through a comprehensive measurement-based analysis, the performance of the RIS product is demonstrated, highlighting its potential to address critical challenges in mmWave communications and to enable advanced 6G use cases.




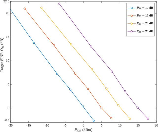
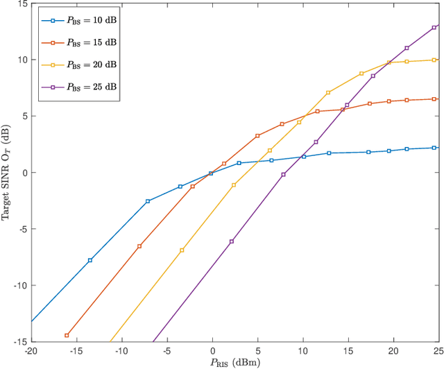
Abstract:Integrated sensing and communication (ISAC) is recognized as one of the key enabling technologies for sixth-generation (6G) wireless communication networks, facilitating diverse emerging applications and services in an energy and cost-efficient manner. This paper proposes a multi-user multi-target ISAC system to enable full-space coverage for communication and sensing tasks. The proposed system employs a hybrid simultaneous transmission and reflection reconfigurable intelligent surface (STAR-RIS) comprising active transmissive and passive reflective elements. In the proposed scheme, the passive reflective elements support communication and sensing links for nearby communication users and sensing targets, while low-power active transmissive elements are deployed to improve sensing performance and overcome high path attenuation due to multi-hop transmission for remote targets. Moreover, to optimize the transmissive/reflective coefficients of the hybrid STAR-RIS, a semi-definite relaxation (SDR)-based algorithm is proposed. Furthermore, to evaluate sensing performance, signal-to-interference-noise ratio (SINR) and Cramer-Rao bound (CRB) metrics have been derived and investigated via conducting extensive computer simulations.




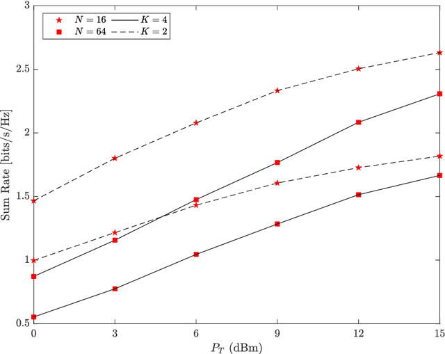
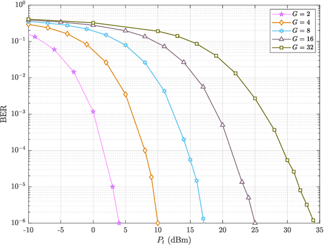
Abstract:Reconfigurable intelligent surface (RIS)-empowered communication is a revolutionary technology that enables to manipulate wireless propagation environment via smartly controllable low-cost reflecting surfaces. However, in order to outperform conventional communication systems, an RIS-aided system with solely passive reflection requires an extremely large surface. To meet this challenge, the concept of active RIS, which performs simultaneous amplification and reflection on the incident signal at the expense of additional power consumption, has been recently introduced. In this paper, deploying an active RIS, we propose a novel beamforming concept, over-the-air beamforming, for RIS-aided multi-user multiple-input single-output (MISO) transmission schemes without requiring any pre/post signal processing hardware designs at the transmitter and receiver sides. In the proposed over-the-air beamforming-based transmission scheme, the reflection coefficients of the active RIS elements are customized to maximize the sum-rate gain. To tackle this issue, first, a non-convex quadratically constrained quadratic programming (QCQP) problem is formulated. Then, using semidefinite relaxation (SDR) approach, this optimization problem is converted to a convex feasibility problem, which is efficiently solved using the CVX optimization toolbox. Moreover, taking inspiration from this beamforming technique, a novel high-rate receive index modulation (IM) scheme with a low-complexity sub-optimal detector is developed. Through comprehensive simulation results, the sum-rate and bit error rate (BER) performance of the proposed designs are investigated.




Abstract:Reconfigurable intelligent surface (RIS)-empowered communication has emerged as a novel concept for customizing future wireless environments in a cost- and energy-efficient way. However, due to double path loss, existing fully passive RIS systems that purely reflect the incident signals into preferred directions attain an unsatisfactory performance improvement over the traditional wireless networks in certain conditions. To overcome this bottleneck, we propose a novel transmission scheme, named hybrid reflection modulation (HRM), exploiting both active and passive reflecting elements at the RIS and their combinations, which enables to convey information without using any radio frequency (RF) chains. In the HRM scheme, the active reflecting elements using additional power amplifiers are able to amplify and reflect the incoming signal, while the remaining passive elements can simply reflect the signals with appropriate phase shifts. Based on this novel transmission model, we obtain an upper bound for the average bit error probability (ABEP), and derive achievable rate of the system using an information theoretic approach. Moreover, comprehensive computer simulations are performed to prove the superiority of the proposed HRM scheme over existing fully passive, fully active and reflection modulation (RM) systems.




Abstract:Media-based modulation (MBM), exploiting rich scattering properties of transmission environments via different radiation patterns of a single reconfigurable antenna (RA), has brought new insights into future communication systems. In this study, considering this innovative transmission principle, we introduce the realistic, two-dimensional (2D), and open-source SimMBM channel simulator to support various applications of MBM systems at sub-6 GHz frequency band in different environments.