LPSM




Abstract:We investigate the generative capabilities of the Schr\"odinger Bridge (SB) approach for time series. The SB framework formulates time series synthesis as an entropic optimal interpolation transport problem between a reference probability measure on path space and a target joint distribution. This results in a stochastic differential equation over a finite horizon that accurately captures the temporal dynamics of the target time series. While the SB approach has been largely explored in fields like image generation, there is a scarcity of studies for its application to time series. In this work, we bridge this gap by conducting a comprehensive evaluation of the SB method's robustness and generative performance. We benchmark it against state-of-the-art (SOTA) time series generation methods across diverse datasets, assessing its strengths, limitations, and capacity to model complex temporal dependencies. Our results offer valuable insights into the SB framework's potential as a versatile and robust tool for time series generation.




Abstract:We consider reinforcement learning (RL) methods for finding optimal policies in linear quadratic (LQ) mean field control (MFC) problems over an infinite horizon in continuous time, with common noise and entropy regularization. We study policy gradient (PG) learning and first demonstrate convergence in a model-based setting by establishing a suitable gradient domination condition.Next, our main contribution is a comprehensive error analysis, where we prove the global linear convergence and sample complexity of the PG algorithm with two-point gradient estimates in a model-free setting with unknown parameters. In this setting, the parameterized optimal policies are learned from samples of the states and population distribution.Finally, we provide numerical evidence supporting the convergence of our implemented algorithms.
Abstract:We propose a comprehensive framework for policy gradient methods tailored to continuous time reinforcement learning. This is based on the connection between stochastic control problems and randomised problems, enabling applications across various classes of Markovian continuous time control problems, beyond diffusion models, including e.g. regular, impulse and optimal stopping/switching problems. By utilizing change of measure in the control randomisation technique, we derive a new policy gradient representation for these randomised problems, featuring parametrised intensity policies. We further develop actor-critic algorithms specifically designed to address general Markovian stochastic control issues. Our framework is demonstrated through its application to optimal switching problems, with two numerical case studies in the energy sector focusing on real options.




Abstract:We develop a new policy gradient and actor-critic algorithm for solving mean-field control problems within a continuous time reinforcement learning setting. Our approach leverages a gradient-based representation of the value function, employing parametrized randomized policies. The learning for both the actor (policy) and critic (value function) is facilitated by a class of moment neural network functions on the Wasserstein space of probability measures, and the key feature is to sample directly trajectories of distributions. A central challenge addressed in this study pertains to the computational treatment of an operator specific to the mean-field framework. To illustrate the effectiveness of our methods, we provide a comprehensive set of numerical results. These encompass diverse examples, including multi-dimensional settings and nonlinear quadratic mean-field control problems with controlled volatility.




Abstract:We propose a novel generative model for time series based on Schr{\"o}dinger bridge (SB) approach. This consists in the entropic interpolation via optimal transport between a reference probability measure on path space and a target measure consistent with the joint data distribution of the time series. The solution is characterized by a stochastic differential equation on finite horizon with a path-dependent drift function, hence respecting the temporal dynamics of the time series distribution. We can estimate the drift function from data samples either by kernel regression methods or with LSTM neural networks, and the simulation of the SB diffusion yields new synthetic data samples of the time series. The performance of our generative model is evaluated through a series of numerical experiments. First, we test with a toy autoregressive model, a GARCH Model, and the example of fractional Brownian motion, and measure the accuracy of our algorithm with marginal and temporal dependencies metrics. Next, we use our SB generated synthetic samples for the application to deep hedging on real-data sets. Finally, we illustrate the SB approach for generating sequence of images.




Abstract:We study policy gradient for mean-field control in continuous time in a reinforcement learning setting. By considering randomised policies with entropy regularisation, we derive a gradient expectation representation of the value function, which is amenable to actor-critic type algorithms, where the value functions and the policies are learnt alternately based on observation samples of the state and model-free estimation of the population state distribution, either by offline or online learning. In the linear-quadratic mean-field framework, we obtain an exact parametrisation of the actor and critic functions defined on the Wasserstein space. Finally, we illustrate the results of our algorithms with some numerical experiments on concrete examples.




Abstract:This paper is devoted to the numerical resolution of McKean-Vlasov control problems via the class of mean-field neural networks introduced in our companion paper [25] in order to learn the solution on the Wasserstein space. We propose several algorithms either based on dynamic programming with control learning by policy or value iteration, or backward SDE from stochastic maximum principle with global or local loss functions. Extensive numerical results on different examples are presented to illustrate the accuracy of each of our eight algorithms. We discuss and compare the pros and cons of all the tested methods.




Abstract:We study the machine learning task for models with operators mapping between the Wasserstein space of probability measures and a space of functions, like e.g. in mean-field games/control problems. Two classes of neural networks, based on bin density and on cylindrical approximation, are proposed to learn these so-called mean-field functions, and are theoretically supported by universal approximation theorems. We perform several numerical experiments for training these two mean-field neural networks, and show their accuracy and efficiency in the generalization error with various test distributions. Finally, we present different algorithms relying on mean-field neural networks for solving time-dependent mean-field problems, and illustrate our results with numerical tests for the example of a semi-linear partial differential equation in the Wasserstein space of probability measures.




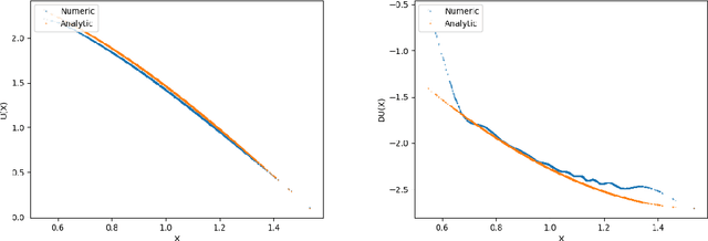
Abstract:We propose a numerical method for solving high dimensional fully nonlinear partial differential equations (PDEs). Our algorithm estimates simultaneously by backward time induction the solution and its gradient by multi-layer neural networks, through a sequence of learning problems obtained from the minimization of suitable quadratic loss functions and training simulations. This methodology extends to the fully non-linear case the approach recently proposed in [HPW19] for semi-linear PDEs. Numerical tests illustrate the performance and accuracy of our method on several examples in high dimension with nonlinearity on the Hessian term including a linear quadratic control problem with control on the diffusion coefficient.




Abstract:We propose new machine learning schemes for solving high dimensional nonlinear partial differential equations (PDEs). Relying on the classical backward stochastic differential equation (BSDE) representation of PDEs, our algorithms estimate simultaneously the solution and its gradient by deep neural networks. These approximations are performed at each time step from the minimization of loss functions defined recursively by backward induction. The methodology is extended to variational inequalities arising in optimal stopping problems. We analyze the convergence of the deep learning schemes and provide error estimates in terms of the universal approximation of neural networks. Numerical results show that our algorithms give very good results till dimension 50 (and certainly above), for both PDEs and variational inequalities problems. For the PDEs resolution, our results are very similar to those obtained by the recent method in \cite{weinan2017deep} when the latter converges to the right solution or does not diverge. Numerical tests indicate that the proposed methods are not stuck in poor local minimaas it can be the case with the algorithm designed in \cite{weinan2017deep}, and no divergence is experienced. The only limitation seems to be due to the inability of the considered deep neural networks to represent a solution with a too complex structure in high dimension.