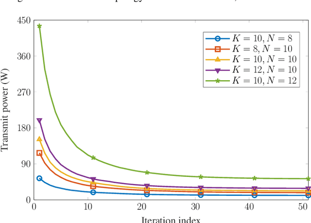
Abstract:In Earth observation (EO) missions with Low Earth orbit (LEO) satellites, high-resolution image acquisition generates a massive data volume that poses a significant challenge for transmission under the limited satellite power budget, while LEO movement introduces dynamic systems. To enable efficient image transmission, this paper employs semantic communication (SemCom) with joint source-channel coding (JSCC), which focuses on transmitting meaningful information to reduce power consumption. Under a quality-of-service (QoS) requirement defined by image reconstruction quality, this work aims to minimize the total transmit power by jointly optimizing the JSCC encoder-decoder parameters and resource allocation. However, the implicit relationship among JSCC parameters, link quality, and image quality, coupled with the presence of mixed integer-continuous variables, makes the problem difficult to solve directly. To address this, a curve-fitting model is proposed to approximate the JSCC compression-SNR-quality relationship. Then, the joint compression ratio-resource allocation (JCRRA) algorithm is proposed to address the underlying problem. Numerical results demonstrate that the proposed method achieves substantial power savings compared to both greedy algorithms and conventional transmission paradigms.
Abstract:The explosive growth in wireless service demand has prompted the evolution of integrated satellite-terrestrial networks (ISTNs) to overcome the limitations of traditional terrestrial networks (TNs) in terms of coverage, spectrum efficiency, and deployment cost. Particularly, leveraging LEO satellites and dynamic spectrum sharing (DSS), ISTNs offer promising solutions but face significant challenges due to diverse terrestrial environments, user and satellite mobility, and long propagation LEO-to-ground distance. To address these challenges, digitial-twin (DT) has emerged as a promising technology to offer virtual replicas of real-world systems, facilitating prediction for resource management. In this work, we study a time-window-based DT-aided DSS framework for ISTNs, enabling joint long-term and short-term resource decisions to reduce system congestion. Based on that, two optimization problems are formulated, which aim to optimize resource management using DT information and to refine obtained solutions with actual real-time information, respectively. To efficiently solve these problems, we proposed algorithms using compressed-sensing-based and successive convex approximation techniques. Simulation results using actual traffic data and the London 3D map demonstrate the superiority in terms of congestion minimization of our proposed algorithms compared to benchmarks. Additionally, it shows the adaptation ability and practical feasibility of our proposed solutions.
Abstract:Modern Earth Observation (EO) systems increasingly rely on high-resolution imagery to support critical applications such as environmental monitoring, disaster response, and land-use analysis. Although these applications benefit from detailed visual data, the resulting data volumes impose significant challenges on satellite communication systems constrained by limited bandwidth, power, and dynamic link conditions. To address these limitations, this paper investigates Deep Joint Source-Channel Coding (DJSCC) as an effective source-channel paradigm for the transmission of EO imagery. We focus on two complementary aspects of semantic loss in DJSCC-based systems. First, a reconstruction-centric framework is evaluated by analyzing the semantic degradation of reconstructed images under varying compression ratios and channel signal-to-noise ratios (SNR). Second, a task-oriented framework is developed by integrating DJSCC with lightweight, application-specific models (e.g., EfficientViT), with performance measured using downstream task accuracy rather than pixel-level fidelity. Based on extensive empirical analysis, we propose a unified semantic loss framework that captures both reconstruction-centric and task-oriented performance within a single model. This framework characterizes the implicit relationship between JSCC compression, channel SNR, and semantic quality, offering actionable insights for the design of robust and efficient EO imagery transmission under resource-constrained satellite links.




Abstract:The integrated satellite-terrestrial networks (ISTNs) through spectrum sharing have emerged as a promising solution to improve spectral efficiency and meet increasing wireless demand. However, this coexistence introduces significant challenges, including inter-system interference (ISI) and the low Earth orbit satellite (LSat) movements. To capture the actual environment for resource management, we propose a time-varying digital twin (DT)-aided framework for ISTNs incorporating 3D map that enables joint optimization of bandwidth (BW) allocation, traffic steering, and resource allocation, and aims to minimize congestion. The problem is formulated as a mixed-integer nonlinear programming (MINLP), addressed through a two-phase algorithm based on successive convex approximation (SCA) and compressed sensing approaches. Numerical results demonstrate the proposed method's superior performance in queue length minimization compared to benchmarks.
Abstract:This study introduces ResNet-GLUSE, a lightweight ResNet variant enhanced with Gated Linear Unit-enhanced Squeeze-and-Excitation (GLUSE), an adaptive channel-wise attention mechanism. By integrating dynamic gating into the traditional SE framework, GLUSE improves feature recalibration while maintaining computational efficiency. Experiments on EuroSAT and PatternNet datasets confirm its effectiveness, achieving exceeding \textbf{94\% and 98\% accuracy}, respectively. While \textbf{MobileViT achieves 99\% accuracy}, ResNet-GLUSE offers \textbf{33x fewer parameters, 27x fewer FLOPs, 33x smaller model size (MB), $\approx$6x lower power consumption (W), and $\approx$3x faster inference time (s)}, making it significantly more efficient for onboard satellite deployment. Furthermore, due to its simplicity, ResNet-GLUSE can be easily mimicked for \textbf{neuromorphic computing}, enabling ultra-low power inference at just \textbf{852.30 mW} on Akida Brainchip. This balance between high accuracy and ultra-low resource consumption establishes ResNet-GLUSE as a practical solution for real-time Earth Observation (EO) tasks. Reproducible codes are available in our shared repository.




Abstract:The integration of machine learning (ML) has significantly enhanced the capabilities of Earth Observation (EO) systems by enabling the extraction of actionable insights from complex datasets. However, the performance of data-driven EO applications is heavily influenced by the data collection and transmission processes, where limited satellite bandwidth and latency constraints can hinder the full transmission of original data to the receivers. To address this issue, adopting the concepts of Semantic Communication (SC) offers a promising solution by prioritizing the transmission of essential data semantics over raw information. Implementing SC for EO systems requires a thorough understanding of the impact of data processing and communication channel conditions on semantic loss at the processing center. This work proposes a novel data-fitting framework to empirically model the semantic loss using real-world EO datasets and domain-specific insights. The framework quantifies two primary types of semantic loss: (1) source coding loss, assessed via a data quality indicator measuring the impact of processing on raw source data, and (2) transmission loss, evaluated by comparing practical transmission performance against the Shannon limit. Semantic losses are estimated by evaluating the accuracy of EO applications using four task-oriented ML models, EfficientViT, MobileViT, ResNet50-DINO, and ResNet8-KD, on lossy image datasets under varying channel conditions and compression ratios. These results underpin a framework for efficient semantic-loss modeling in bandwidth-constrained EO scenarios, enabling more reliable and effective operations.




Abstract:This paper examines integrated satellite-terrestrial networks (ISTNs) in urban environments, where terrestrial networks (TNs) and non-terrestrial networks (NTNs) share the same frequency band in the C-band which is considered the promising band for both systems. The dynamic issues in ISTNs, arising from the movement of low Earth orbit satellites (LEOSats) and the mobility of users (UEs), are addressed. The goal is to maximize the sum rate by optimizing link selection for UEs over time. To tackle this challenge, an efficient iterative algorithm is developed. Simulations using a realistic 3D map provide valuable insights into the impact of urban environments on ISTNs and also demonstrates the effectiveness of the proposed algorithm.




Abstract:This paper studies the channel model for the integrated satellite-terrestrial networks operating at C-band under deployment in dense urban and rural areas. Particularly, the interference channel from the low-earth-orbit (LEO) satellite to the dense urban area is analyzed carefully under the impact of the environment's characteristics, i.e., the building density, building height, and the elevation angle. Subsequently, the experimental results show the strong relationships between these characteristics and the channel gain loss. Especially, the functions of channel gain loss are obtained by utilizing the model-fitting approach that can be used as the basis for studying future works of integration of satellite and terrestrial networks (ISTNs).




Abstract:This paper presents a study of an integrated satellite-terrestrial network, where Low-Earth-Orbit (LEO) satellites are used to provide the backhaul link between base stations (BSs) and the core network. The mobility of LEO satellites raises the challenge of determining the optimal association between LEO satellites, BSs, and users (UEs). The goal is to satisfy the UE demand while ensuring load balance and optimizing the capacity of the serving link between the BS and the LEO satellite. To tackle this complex optimization problem, which involves mixed-integer non-convex programming, we propose an iterative algorithm that leverages approximation and relaxation methods. The proposed solution aims to find the optimal two-tier satellite-BS-UE association, sub-channel assignment, power and bandwidth allocation in the shortest possible time, fulfilling the requirements of the integrated satellite-terrestrial network.




Abstract:This paper aims to develop satellite-user association and resource allocation mechanisms to minimize the total transmit power for integrated terrestrial and non-terrestrial networks wherein a constellation of LEO satellites provides the radio access services to both terrestrial base stations (BSs) and the satellite-enabled users (SUEs). In this work, beside maintaining the traditional SatCom connection for SUEs, the LEO satellites provide backhaul links to the BSs to upload the data received from their ground customers. Taking the individual SUE traffic demands and the aggregated BS demands, we formulate a mixed integer programming which consists of the binary variables due to satellite association selection, power control and bandwidth allocation related variables. To cope with this challenging problem, an iterative optimization-based algorithm is proposed by relaxing the binary components and alternating updating all variables. A greedy mechanism is also presented for comparison purpose. Then, numerical results are presented to confirm the effectiveness of our proposed algorithms.