



Abstract:6G network architectures will usher in a wave of innovative services and capabilities, introducing concepts like split computing and dynamic processing nodes. This implicates a paradigm where accessing resources seamlessly aligns with diverse processing node characteristics, ensuring a uniform interface. In this landscape, the identity of the operator becomes inconsequential, paving the way for a collaborative ecosystem where multiple providers contribute to a shared pool of resources. At the core of this vision is the guarantee of specific performance parameters, precisely tailored to the location and service requirements. A consistent layer, as the abstraction of the complexities of different infrastructure providers, is needed to simplify service deployment. One promising approach is the introduction of an over-the-top broker for resource allocation, which streamlines the integration of these services into the network and cloud infrastructure of the future. This paper explores the role of the broker in two split computing scenarios. By abstracting the complexities of various infrastructures, the broker proves to be a versatile solution applicable not only to cloud environments but also to networks and beyond. Additionally, a detailed discussion of a proof-of-concept implementation provides insights into the broker's actual architectural framework.




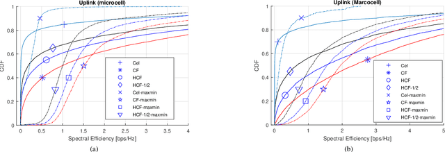
Abstract:In traditional cellular networks, users at the cell edge often suffer from poor quality of service (QoS) due to large distance-dependent path loss and severe inter-cell interference. While cell-free (CF) massive multi-input multi-out (MIMO) mitigates this issue by distributing access points (APs) to ensure uniform QoS, the deployment of numerous distributed APs and a fronthaul network incurs high infrastructure costs. To balance performance and cost efficiency, this article proposes a simplified design called hierarchical cell-free (HCF) massive MIMO. The key idea is to reduce the number of APs, thus minimizing the scale of the fronthaul network. The antennas from the decommissioned APs are aggregated at a central base station (cBS), which also serves as the coordinator for distributed APs. We derive closed-form expressions for uplink and downlink spectral efficiency (SE) for HCF, CF, and cellular massive MIMO under pilot contamination and correlated fading channels, considering the use of multi-antenna APs. Numerical results confirm that the hierarchical architecture achieves $95\%$-likely per-user SE comparable to CF, enhancing cell-edge user rates in cellular systems by over 100 times, while significantly reducing the complexity and cost of the fronthaul network in CF. We develop max-min fairness algorithms for joint power control of the cBS and APs in the downlink, and the users in the uplink. These algorithms not only boost fairness and system capacity but also dramatically lower transmission power, e.g., achieving over $70\%$ savings in uplink, particularly beneficial for battery-powered mobile devices.




Abstract:Constrained by weak signal strength and significant inter-cell interference, users located at the cell edge in a cellular network suffer from inferior service quality. Recently, cell-free massive MIMO (CFmMIMO) has gained considerable attention due to its capability to offer uniform quality of service, alleviating the cell-edge problem. In contrast to previous studies focused on narrow-band CFmMIMO systems, this paper studies wideband CFmMIMO communications against channel frequency selectivity. By exploiting the frequency-domain flexibility offered by orthogonal frequency-division multiplexing (OFDM), and leveraging a particular spatial characteristic in the cell-free structure -- namely, the near-far effect among distributed access points (APs) -- we propose an opportunistic approach to boost spectral efficiency. The core concept lies in opportunistically activating nearby APs for certain users across their assigned OFDM subcarriers while deactivating distant APs to prevent power wastage and lower inter-user interference. Furthermore, this approach enables the use of downlink pilots by reducing the number of active APs per subcarrier to a small subset, thereby substantially improving downlink performance through coherent detection at the user receiver. Verified by numerical results, our proposed approach demonstrates considerable performance improvement compared to the two benchmark approaches.




Abstract:Recently, intelligent reflecting surface (IRS)-aided millimeter-wave (mmWave) and terahertz (THz) communications are considered in the wireless community. This paper aims to design a beam-based multiple-access strategy for this new paradigm. Its key idea is to make use of multiple sub-arrays over a hybrid digital-analog array to form independent beams, each of which is steered towards the desired direction to mitigate inter-user interference and suppress unwanted signal reflection. The proposed scheme combines the advantages of both orthogonal multiple access (i.e., no inter-user interference) and non-orthogonal multiple access (i.e., full time-frequency resource use). Consequently, it can substantially boost the system capacity, as verified by Monte-Carlo simulations.




Abstract:The next-generation wireless technologies, commonly referred to as the sixth generation (6G), are envisioned to support extreme communications capacity and in particular disruption in the network sensing capabilities. The terahertz (THz) band is one potential enabler for those due to the enormous unused frequency bands and the high spatial resolution enabled by both short wavelengths and bandwidths. Different from earlier surveys, this paper presents a comprehensive treatment and technology survey on THz communications and sensing in terms of the advantages, applications, propagation characterization, channel modeling, measurement campaigns, antennas, transceiver devices, beamforming, networking, the integration of communications and sensing, and experimental testbeds. Starting from the motivation and use cases, we survey the development and historical perspective of THz communications and sensing with the anticipated 6G requirements. We explore the radio propagation, channel modeling, and measurements for THz band. The transceiver requirements, architectures, technological challenges, and approaches together with means to compensate for the high propagation losses by appropriate antenna and beamforming solutions. We survey also several system technologies required by or beneficial for THz systems. The synergistic design of sensing and communications is explored with depth. Practical trials, demonstrations, and experiments are also summarized. The paper gives a holistic view of the current state of the art and highlights the issues and challenges that are open for further research towards 6G.




Abstract:This paper focuses on studying orthogonal and non-orthogonal multiple access in intelligent reflecting surface (IRS)-aided systems. Unlike most prior works assuming continuous phase shifts, we employ the practical setup where only a finite number of discrete phase shifts are available. To maximize the sum rate, active beamforming and discrete reflection need to be jointly optimized. We therefore propose an alternative optimization method to get the optimal continuous phase shifts iteratively, and then quantize each phase shift to its nearest discrete value. The sum-rate maximization of different schemes is theoretically analyzed and numerically evaluated with different numbers of phase-control bits.
Abstract:Artificial Intelligence (AI) increasingly shows its potential to outperform predicate logic algorithms and human control alike. In automatically deriving a system model, AI algorithms learn relations in data that are not detectable for humans. This great strength, however, also makes use of AI methods dubious. The more complex a model, the more difficult it is for a human to understand the reasoning for the decisions. As currently, fully automated AI algorithms are sparse, every algorithm has to provide a reasoning for human operators. For data engineers, metrics such as accuracy and sensitivity are sufficient. However, if models are interacting with non-experts, explanations have to be understandable. This work provides an extensive survey of literature on this topic, which, to a large part, consists of other surveys. The findings are mapped to ways of explaining decisions and reasons for explaining decisions. It shows that the heterogeneity of reasons and methods of and for explainability lead to individual explanatory frameworks.


Abstract:This letter aims to clarify the impact of channel aging and phase noise on the performance of intelligent reflecting surface-aided wireless systems. We first model mathematically the outdated channel state information (CSI) due to Doppler shifts and phase noise stemming from hardware impairment. Then, a closed-form expression of achievable spectral efficiency under noisy and aged CSI is theoretically derived. Some typical simulation results to numerically demonstrate the performance impact are illustrated.



Abstract:Intelligent reflecting surface (IRS) is a cost-efficient technique to improve power efficiency and spectral efficiency. However, IRS-aided multi-antenna transmission needs to jointly optimize the passive and active beamforming, imposing a high computational burden and high latency due to its iterative optimization process. Making use of hybrid analog-digital beamforming in high-frequency transmission systems, a novel technique, coined dual-beam IRS, is proposed in this paper. The key idea is to form a pair of beams towards the IRS and user, respectively. Then, the optimization of passive and active beamforming can be decoupled, resulting in a simplified system design. Simulation results corroborate that it achieves a good balance between the cell-edge and cell-center performance. Compared with the performance bound, the gap is moderate, but it remarkably outperforms other sub-optimal schemes.




Abstract:The fifth-generation (5G) mobile system is now being deployed across the world and the scale of 5G subscribers is growing quickly in many countries. The attention of academia and industry is increasingly shifting towards the sixth generation (6G) and many pioneering works are being kicked off, indicating an important milestone in the history of 6G. At this juncture, an overview of the current state of the art of 6G research and a vision of future communications are of great interest. This paper thus investigates up-to-date 6G research programs, ambitions, and main viewpoints of representative countries, institutions, and companies worldwide. Then, the key technologies are outlined and a vision on ``What 6G may look like?" is provided. This paper aims to serve as an enlightening guideline for interested researchers to quickly get an overview when kicking off their 6G research.