



Abstract:Background: The reproducibility of machine-learning models in prostate cancer detection across different MRI vendors remains a significant challenge. Methods: This study investigates Support Vector Machines (SVM) and Random Forest (RF) models trained on radiomic features extracted from T2-weighted MRI images using Pyradiomics and MRCradiomics libraries. Feature selection was performed using the maximum relevance minimum redundancy (MRMR) technique. We aimed to enhance clinical decision support through multimodal learning and feature fusion. Results: Our SVM model, utilizing combined features from Pyradiomics and MRCradiomics, achieved an AUC of 0.74 on the Multi-Improd dataset (Siemens scanner) but decreased to 0.60 on the Philips test set. The RF model showed similar trends, with notable robustness for models using Pyradiomics features alone (AUC of 0.78 on Philips). Conclusions: These findings demonstrate the potential of multimodal feature integration to improve the robustness and generalizability of machine-learning models for clinical decision support in prostate cancer detection. This study marks a significant step towards developing reliable AI-driven diagnostic tools that maintain efficacy across various imaging platforms.




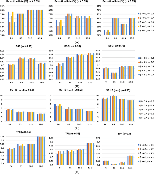
Abstract:Purpose: We aimed to develop deep machine learning (DL) models to improve the detection and segmentation of intraprostatic lesions (IL) on bp-MRI by using whole amount prostatectomy specimen-based delineations. We also aimed to investigate whether transfer learning and self-training would improve results with small amount labelled data. Methods: 158 patients had suspicious lesions delineated on MRI based on bp-MRI, 64 patients had ILs delineated on MRI based on whole mount prostatectomy specimen sections, 40 patients were unlabelled. A non-local Mask R-CNN was proposed to improve the segmentation accuracy. Transfer learning was investigated by fine-tuning a model trained using MRI-based delineations with prostatectomy-based delineations. Two label selection strategies were investigated in self-training. The performance of models was evaluated by 3D detection rate, dice similarity coefficient (DSC), 95 percentile Hausdrauff (95 HD, mm) and true positive ratio (TPR). Results: With prostatectomy-based delineations, the non-local Mask R-CNN with fine-tuning and self-training significantly improved all evaluation metrics. For the model with the highest detection rate and DSC, 80.5% (33/41) of lesions in all Gleason Grade Groups (GGG) were detected with DSC of 0.548[0.165], 95 HD of 5.72[3.17] and TPR of 0.613[0.193]. Among them, 94.7% (18/19) of lesions with GGG > 2 were detected with DSC of 0.604[0.135], 95 HD of 6.26[3.44] and TPR of 0.580[0.190]. Conclusion: DL models can achieve high prostate cancer detection and segmentation accuracy on bp-MRI based on annotations from histologic images. To further improve the performance, more data with annotations of both MRI and whole amount prostatectomy specimens are required.