



Abstract:Multimode optical fibres are hair-thin strands of glass that efficiently transport light. They promise next-generation medical endoscopes that provide unprecedented sub-cellular image resolution deep inside the body. However, confining light to such fibres means that images are inherently scrambled in transit. Conventionally, this scrambling has been compensated by pre-calibrating how a specific fibre scrambles light and solving a stationary linear matrix equation that represents a physical model of the fibre. However, as the technology develops towards real-world deployment, the unscrambling process must account for dynamic changes in the matrix representing the fibre's effect on light, due to factors such as movement and temperature shifts, and non-linearities resulting from the inaccessibility of the fibre tip when inside the body. Such complex, dynamic and nonlinear behaviour is well-suited to approximation by neural networks, but most leading image reconstruction networks rely on convolutional layers, which assume strong correlations between adjacent pixels, a strong inductive bias that is inappropriate for fibre matrices which may be expressed in a range of arbitrary coordinate representations with long-range correlations. We introduce a new concept that uses self-attention layers to dynamically transform the coordinate representations of varying fibre matrices to a basis that admits compact, low-dimensional representations suitable for further processing. We demonstrate the effectiveness of this approach on diverse fibre matrix datasets. We show our models significantly improve the sparsity of fibre bases in their transformed bases with a participation ratio, p, as a measure of sparsity, of between 0.01 and 0.11. Further, we show that these transformed representations admit reconstruction of the original matrices with < 10% reconstruction error, demonstrating the invertibility.




Abstract:Advances in artificial intelligence (AI) show great potential in revealing underlying information from phonon microscopy (high-frequency ultrasound) data to identify cancerous cells. However, this technology suffers from the 'batch effect' that comes from unavoidable technical variations between each experiment, creating confounding variables that the AI model may inadvertently learn. We therefore present a multi-task conditional neural network framework to simultaneously achieve inter-batch calibration, by removing confounding variables, and accurate cell classification of time-resolved phonon-derived signals. We validate our approach by training and validating on different experimental batches, achieving a balanced precision of 89.22% and an average cross-validated precision of 89.07% for classifying background, healthy and cancerous regions. Classification can be performed in 0.5 seconds with only simple prior batch information required for multiple batch corrections. Further, we extend our model to reconstruct denoised signals, enabling physical interpretation of salient features indicating disease state including sound velocity, sound attenuation and cell-adhesion to substrate.




Abstract:We introduce the concept of `hyperpixels' in which each element of a pixel filter array (suitable for CMOS image sensor integration) has a spectral transmission tailored to a target spectral component expected in application-specific scenes. These are analogous to arrays of multivariate optical elements that could be used for sensing specific analytes. Spectral tailoring is achieved by engineering the heights of multiple sub-pixel Fabry-Perot resonators that cover each pixel area. We first present a design approach for hyperpixels, based on a matched filter concept and, as an exemplar, design a set of 4 hyperpixels tailored to optimally discriminate between 4 spectral reflectance targets. Next, we fabricate repeating 2x2 pixel filter arrays of these designs, alongside repeating 2x2 arrays of an optimal bandpass filters, perform both spectral and imaging characterization. Experimentally measured hyperpixel transmission spectra show a 2.4x reduction in unmixing matrix condition number (p=0.031) compared to the optimal band-pass set. Imaging experiments using the filter arrays with a monochrome sensor achieve a 3.47x reduction in unmixing matrix condition number (p=0.020) compared to the optimal band-pass set. This demonstrates the utility of the hyperpixel approach and shows its superiority even over the optimal bandpass case. We expect that with further improvements in design and fabrication processes increased performance may be obtained. Because the hyperpixels are straightforward to customize, fabricate and can be placed atop monochrome sensors, this approach is highly versatile and could be adapted to a wide range of real-time imaging applications which are limited by low SNR including micro-endoscopy, capsule endoscopy, industrial inspection and machine vision.
Abstract:There is a need for a cost-effective, quantitative imaging tool that can be deployed endoscopically to better detect early stage gastrointestinal cancers. Spatial frequency domain imaging (SFDI) is a low-cost imaging technique that produces near-real time, quantitative maps of absorption and reduced scattering coefficients, but most implementations are bulky and suitable only for use outside the body. We present an ultra-miniature SFDI system comprised of an optical fiber array (diameter 0.125 mm) and a micro camera (1 x 1 mm package) displacing conventionally bulky components, in particular the projector. The prototype has outer diameter 3 mm, but the individual components dimensions could permit future packaging to < 1.5 mm diameter. We develop a phase-tracking algorithm to rapidly extract images with fringe projections at 3 equispaced phase shifts in order to perform SFDI demodulation. To validate performance, we first demonstrate comparable recovery of quantitative optical properties between our ultra-miniature system and a conventional bench-top SFDI system with agreement of 15% and 6% for absorption and reduced scattering respectively. Next, we demonstrate imaging of absorption and reduced scattering of tissue-mimicking phantoms providing enhanced contrast between simulated tissue types (healthy and tumour), done simultaneously at wavelengths of 515 nm and 660 nm. This device shows promise as a cost-effective, quantitative imaging tool to detect variations in optical absorption and scattering as indicators of cancer.
Abstract:Ultra-thin multimode optical fiber imaging technology promises next-generation medical endoscopes that provide high image resolution deep in the body (e.g. blood vessels, brain). However, this technology suffers from severe optical distortion. The fiber's transmission matrix (TM) calibrates for this distortion but is sensitive to bending and temperature so must be measured immediately prior to imaging, i.e. \emph{in vivo} and thus with access to a single end only. We present a neural network (NN)-based approach that quickly reconstructs transmission matrices based on multi-wavelength reflection-mode measurements. We introduce a custom loss function insensitive to global phase-degeneracy that enables effective NN training. We then train two different NN architectures, a fully connected NN and convolutional U-Net, to reconstruct $64\times64$ complex-valued fiber TMs through a simulated single-ended optical fiber with $\leq 4\%$ error. This enables image reconstruction with $\leq 8\%$ error. This TM recovery approach shows advantages compared to conventional TM recovery methods: 4500 times faster; robustness to 6\% fiber perturbation during characterization; operation with non-square TMs and no requirement for prior characterization of reflectors.




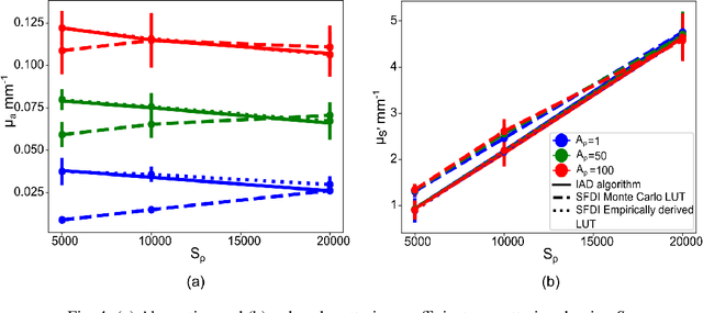
Abstract:Spatial frequency domain imaging (SFDI) is a low-cost imaging technique that can deliver real-time maps of absorption and reduced scattering coefficients. However, there are a wide range of imaging geometries that practical SFDI systems must cope with including imaging flat samples ex vivo, imaging inside tubular lumen in vivo such as in an endoscopy, and measuring tumours or polyps of varying shapes, sizes and optical properties. There is a need for a design and simulation tool to accelerate design and fabrication of new SFDI systems. We present such a system implemented using open-source 3D design and ray-tracing software Blender that is capable of simulating media with realistic optical properties (mimicking healthy and cancerous tissue), a wide variety of shapes and size, and in both planar and tubular imaging geometries. We first demonstrate quantitative agreement between Monte-Carlo simulated scattering and absorption coefficients and those measured from our Blender system. Next, we show the ability of the system to simulate absorption, scattering and shape for flat samples with small simulated tumours and show that the improved contrast associated with SFDI is reproduced. Finally, to demonstrate the versatility of the system as a design tool we show that it can be used to generate a custom look-up-table for mapping from modulation amplitude values to absorption and scattering values in a tubular geometry, simulating a lumen. As a demonstrative example we show that longitudinal sectioning of the tube, with separate look-up tables for each section, significantly improves accuracy of SFDI, representing an important design insight for future systems. We therefore anticipate our simulation system will significantly aid in the design and development of novel SFDI systems, especially as such systems are miniaturised for deployment in endoscopic and laparoscopic systems.




Abstract:In this paper, we model one-day international cricket games as Markov processes, applying forward and inverse Reinforcement Learning (RL) to develop three novel tools for the game. First, we apply Monte-Carlo learning to fit a nonlinear approximation of the value function for each state of the game using a score-based reward model. We show that, when used as a proxy for remaining scoring resources, this approach outperforms the state-of-the-art Duckworth-Lewis-Stern method used in professional matches by 3 to 10 fold. Next, we use inverse reinforcement learning, specifically a variant of guided-cost learning, to infer a linear model of rewards based on expert performances, assumed here to be play sequences of winning teams. From this model we explicitly determine the optimal policy for each state and find this agrees with common intuitions about the game. Finally, we use the inferred reward models to construct a game simulator that models the posterior distribution of final scores under different policies. We envisage our prediction and simulation techniques may provide a fairer alternative for estimating final scores in interrupted games, while the inferred reward model may provide useful insights for the professional game to optimize playing strategy. Further, we anticipate our method of applying RL to this game may have broader application to other sports with discrete states of play where teams take turns, such as baseball and rounders.