



Abstract:This paper describes AssemblyAI's industrial-scale automatic speech recognition (ASR) system, designed to meet the requirements of large-scale, multilingual ASR serving various application needs. Our system leverages a diverse training dataset comprising unsupervised (12.5M hours), supervised (188k hours), and pseudo-labeled (1.6M hours) data across four languages. We provide a detailed description of our model architecture, consisting of a full-context 600M-parameter Conformer encoder pre-trained with BEST-RQ and an RNN-T decoder fine-tuned jointly with the encoder. Our extensive evaluation demonstrates competitive word error rates (WERs) against larger and more computationally expensive models, such as Whisper large and Canary-1B. Furthermore, our architectural choices yield several key advantages, including an improved code-switching capability, a 5x inference speedup compared to an optimized Whisper baseline, a 30% reduction in hallucination rate on speech data, and a 90% reduction in ambient noise compared to Whisper, along with significantly improved time-stamp accuracy. Throughout this work, we adopt a system-centric approach to analyzing various aspects of fully-fledged ASR models to gain practically relevant insights useful for real-world services operating at scale.




Abstract:This paper presents Conformer-1, an end-to-end Automatic Speech Recognition (ASR) model trained on an extensive dataset of 570k hours of speech audio data, 91% of which was acquired from publicly available sources. To achieve this, we perform Noisy Student Training after generating pseudo-labels for the unlabeled public data using a strong Conformer RNN-T baseline model. The addition of these pseudo-labeled data results in remarkable improvements in relative Word Error Rate (WER) by 11.5% and 24.3% for our asynchronous and realtime models, respectively. Additionally, the model is more robust to background noise owing to the addition of these data. The results obtained in this study demonstrate that the incorporation of pseudo-labeled publicly available data is a highly effective strategy for improving ASR accuracy and noise robustness.




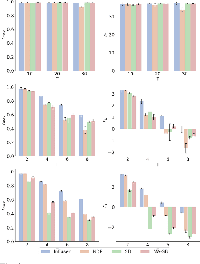
Abstract:Though robot learning is often formulated in terms of discrete-time Markov decision processes (MDPs), physical robots require near-continuous multiscale feedback control. Machines operate on multiple asynchronous sensing modalities, each with different frequencies, e.g., video frames at 30Hz, proprioceptive state at 100Hz, force-torque data at 500Hz, etc. While the classic approach is to batch observations into fixed-time windows then pass them through feed-forward encoders (e.g., with deep networks), we show that there exists a more elegant approach -- one that treats policy learning as modeling latent state dynamics in continuous-time. Specifically, we present 'InFuser', a unified architecture that trains continuous time-policies with Neural Controlled Differential Equations (CDEs). InFuser evolves a single latent state representation over time by (In)tegrating and (Fus)ing multi-sensory observations (arriving at different frequencies), and inferring actions in continuous-time. This enables policies that can react to multi-frequency multi sensory feedback for truly end-to-end visuomotor control, without discrete-time assumptions. Behavior cloning experiments demonstrate that InFuser learns robust policies for dynamic tasks (e.g., swinging a ball into a cup) notably outperforming several baselines in settings where observations from one sensing modality can arrive at much sparser intervals than others.