



Abstract:With the rapid proliferation and increased sophistication of malicious software (malware), detection methods no longer rely only on manually generated signatures but have also incorporated more general approaches like Machine Learning (ML) detection. Although powerful for conviction of malicious artifacts, these methods do not produce any further information about the type of malware that has been detected. In this work, we address the information gap between ML and signature-based detection methods by introducing an ML-based tagging model that generates human interpretable semantic descriptions of malicious software (e.g. file-infector, coin-miner), and argue that for less prevalent malware campaigns these provide potentially more useful and flexible information than malware family names. For this, we first introduce a method for deriving high-level descriptions of malware files from an ensemble of vendor family names. Then we formalize the problem of malware description as a tagging problem and propose a joint embedding deep neural network architecture that can learn to characterize portable executable (PE) files based on static analysis, thus not requiring a dynamic trace to identify behaviors at deployment time. We empirically demonstrate that when evaluated against tags extracted from an ensemble of anti-virus detection names, the proposed tagging model correctly identifies more than 93.7% of eleven possible tag descriptions for a given sample, at a deployable false positive rate (FPR) of 1% per tag. Furthermore, we show that when evaluating this model against ground truth tags derived from the results of dynamic analysis, it correctly predicts 93.5% of the labels for a given sample. These results suggest that an ML tagging model can be effectively deployed alongside a detection model for malware description.




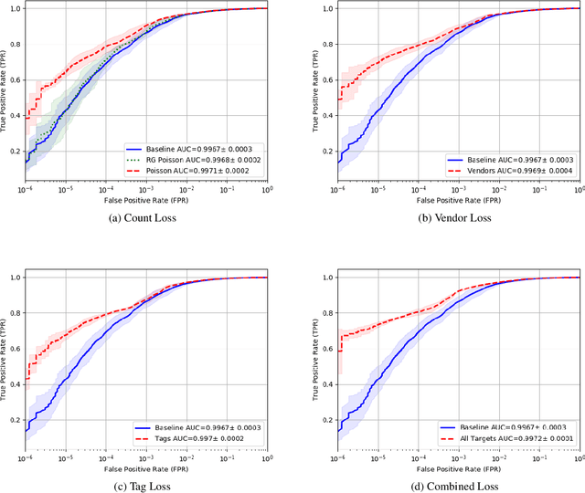
Abstract:Malware detection is a popular application of Machine Learning for Information Security (ML-Sec), in which an ML classifier is trained to predict whether a given file is malware or benignware. Parameters of this classifier are typically optimized such that outputs from the model over a set of input samples most closely match the samples' true malicious/benign (1/0) target labels. However, there are often a number of other sources of contextual metadata for each malware sample, beyond an aggregate malicious/benign label, including multiple labeling sources and malware type information (e.g., ransomware, trojan, etc.), which we can feed to the classifier as auxiliary prediction targets. In this work, we fit deep neural networks to multiple additional targets derived from metadata in a threat intelligence feed for Portable Executable (PE) malware and benignware, including a multi-source malicious/benign loss, a count loss on multi-source detections, and a semantic malware attribute tag loss. We find that incorporating multiple auxiliary loss terms yields a marked improvement in performance on the main detection task. We also demonstrate that these gains likely stem from a more informed neural network representation and are not due to a regularization artifact of multi-target learning. Our auxiliary loss architecture yields a significant reduction in detection error rate (false negatives) of 42.6% at a false positive rate (FPR) of $10^{-3}$ when compared to a similar model with only one target, and a decrease of 53.8% at $10^{-5}$ FPR.