Abstract:Sionna is an open-source, GPU-accelerated library that, as of version 0.14, incorporates a ray tracer for simulating radio wave propagation. A unique feature of Sionna RT is differentiability, enabling the calculation of gradients for the channel impulse responses (CIRs), radio maps, and other related metrics with respect to system and environmental parameters, such as material properties, antenna patterns, and array geometries. The release of Sionna 1.0 provides a complete overhaul of the ray tracer, significantly improving its speed, memory efficiency, and extensibility. This document details the algorithms employed by Sionna RT to simulate radio wave propagation efficiently, while also addressing their current limitations. Given that the computation of CIRs and radio maps requires distinct algorithms, these are detailed in separate sections. For CIRs, Sionna RT integrates shooting and bouncing of rays (SBR) with the image method and uses a hashing-based mechanism to efficiently eliminate duplicate paths. Radio maps are computed using a purely SBR-based approach.
Abstract:We detail the steps required to deploy a multi-user multiple-input multiple-output (MU-MIMO) neural receiver (NRX) in an actual cellular communication system. This raises several exciting research challenges, including the need for real-time inference and compatibility with the 5G NR standard. As the network configuration in a practical setup can change dynamically within milliseconds, we propose an adaptive NRX architecture capable of supporting dynamic modulation and coding scheme (MCS) configurations without the need for any re-training and without additional inference cost. We optimize the latency of the neural network (NN) architecture to achieve inference times of less than 1ms on an NVIDIA A100 GPU using the TensorRT inference library. These latency constraints effectively limit the size of the NN and we quantify the resulting signal-to-noise ratio (SNR) degradation as less than 0.7 dB when compared to a preliminary non-real-time NRX architecture. Finally, we explore the potential for site-specific adaptation of the receiver by investigating the required size of the training dataset and the number of fine-tuning iterations to optimize the NRX for specific radio environments using a ray tracing-based channel model. The resulting NRX is ready for deployment in a real-time 5G NR system and the source code including the TensorRT experiments is available online.




Abstract:Ray tracing (RT) is instrumental in 6G research in order to generate spatially-consistent and environment-specific channel impulse responses (CIRs). While acquiring accurate scene geometries is now relatively straightforward, determining material characteristics requires precise calibration using channel measurements. We therefore introduce a novel gradient-based calibration method, complemented by differentiable parametrizations of material properties, scattering and antenna patterns. Our method seamlessly integrates with differentiable ray tracers that enable the computation of derivatives of CIRs with respect to these parameters. Essentially, we approach field computation as a large computational graph wherein parameters are trainable akin to weights of a neural network (NN). We have validated our method using both synthetic data and real-world indoor channel measurements, employing a distributed multiple-input multiple-output (MIMO) channel sounder.




Abstract:Sionna is a GPU-accelerated open-source library for link-level simulations based on TensorFlow. Its latest release (v0.14) integrates a differentiable ray tracer (RT) for the simulation of radio wave propagation. This unique feature allows for the computation of gradients of the channel impulse response and other related quantities with respect to many system and environment parameters, such as material properties, antenna patterns, array geometries, as well as transmitter and receiver orientations and positions. In this paper, we outline the key components of Sionna RT and showcase example applications such as learning radio materials and optimizing transmitter orientations by gradient descent. While classic ray tracing is a crucial tool for 6G research topics like reconfigurable intelligent surfaces, integrated sensing and communications, as well as user localization, differentiable ray tracing is a key enabler for many novel and exciting research directions, for example, digital twins.




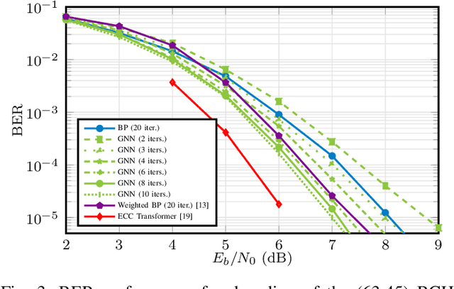
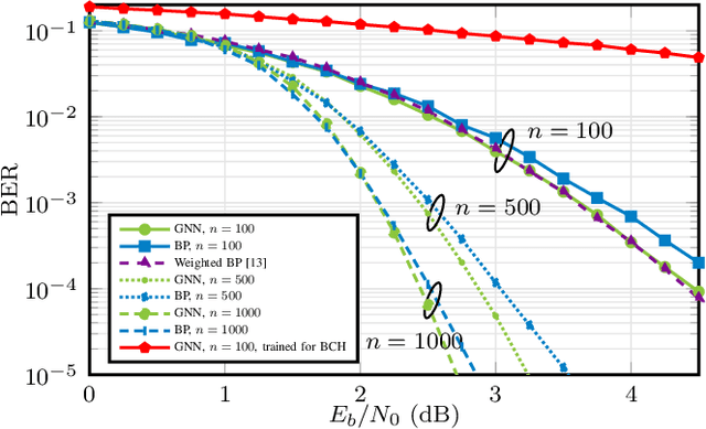
Abstract:In this work, we propose a fully differentiable graph neural network (GNN)-based architecture for channel decoding and showcase competitive decoding performance for various coding schemes, such as low-density parity-check (LDPC) and BCH codes. The idea is to let a neural network (NN) learn a generalized message passing algorithm over a given graph that represents the forward error correction (FEC) code structure by replacing node and edge message updates with trainable functions. Contrary to many other deep learning-based decoding approaches, the proposed solution enjoys scalability to arbitrary block lengths and the training is not limited by the curse of dimensionality. We benchmark our proposed decoder against state-of-the-art in conventional channel decoding as well as against recent deep learning-based results. For the (63,45) BCH code, our solution outperforms weighted belief propagation (BP) decoding by approximately 0.4 dB with significantly less decoding iterations and even for 5G NR LDPC codes, we observe a competitive performance when compared to conventional BP decoding. For the BCH codes, the resulting GNN decoder can be fully parametrized with only 9640 weights.



Abstract:We propose a neural network (NN)-based algorithm for device detection and time of arrival (ToA) and carrier frequency offset (CFO) estimation for the narrowband physical random-access channel (NPRACH) of narrowband internet of things (NB-IoT). The introduced NN architecture leverages residual convolutional networks as well as knowledge of the preamble structure of the 5G New Radio (5G NR) specifications. Benchmarking on a 3rd Generation Partnership Project (3GPP) urban microcell (UMi) channel model with random drops of users against a state-of-the-art baseline shows that the proposed method enables up to 8 dB gains in false negative rate (FNR) as well as significant gains in false positive rate (FPR) and ToA and CFO estimation accuracy. Moreover, our simulations indicate that the proposed algorithm enables gains over a wide range of channel conditions, CFOs, and transmission probabilities. The introduced synchronization method operates at the base station (BS) and, therefore, introduces no additional complexity on the user devices. It could lead to an extension of battery lifetime by reducing the preamble length or the transmit power.