



Abstract:The first International AI Safety Report comprehensively synthesizes the current evidence on the capabilities, risks, and safety of advanced AI systems. The report was mandated by the nations attending the AI Safety Summit in Bletchley, UK. Thirty nations, the UN, the OECD, and the EU each nominated a representative to the report's Expert Advisory Panel. A total of 100 AI experts contributed, representing diverse perspectives and disciplines. Led by the report's Chair, these independent experts collectively had full discretion over the report's content.




Abstract:The existence of label noise imposes significant challenges (e.g., poor generalization) on the training process of deep neural networks (DNN). As a remedy, this paper introduces a permutation layer learning approach termed PermLL to dynamically calibrate the training process of the DNN subject to instance-dependent and instance-independent label noise. The proposed method augments the architecture of a conventional DNN by an instance-dependent permutation layer. This layer is essentially a convex combination of permutation matrices that is dynamically calibrated for each sample. The primary objective of the permutation layer is to correct the loss of noisy samples mitigating the effect of label noise. We provide two variants of PermLL in this paper: one applies the permutation layer to the model's prediction, while the other applies it directly to the given noisy label. In addition, we provide a theoretical comparison between the two variants and show that previous methods can be seen as one of the variants. Finally, we validate PermLL experimentally and show that it achieves state-of-the-art performance on both real and synthetic datasets.




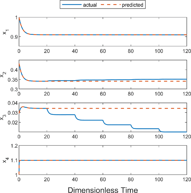
Abstract:Economic model predictive control (EMPC) is a promising methodology for optimal operation of dynamical processes that has been shown to improve process economics considerably. However, EMPC performance relies heavily on the accuracy of the process model used. As an alternative to model-based control strategies, reinforcement learning (RL) has been investigated as a model-free control methodology, but issues regarding its safety and stability remain an open research challenge. This work presents a novel framework for integrating EMPC and RL for online model parameter estimation of a class of nonlinear systems. In this framework, EMPC optimally operates the closed loop system while maintaining closed loop stability and recursive feasibility. At the same time, to optimize the process, the RL agent continuously compares the measured state of the process with the model's predictions (nominal states), and modifies model parameters accordingly. The major advantage of this framework is its simplicity; state-of-the-art RL algorithms and EMPC schemes can be employed with minimal modifications. The performance of the proposed framework is illustrated on a network of reactions with challenging dynamics and practical significance. This framework allows control, optimization, and model correction to be performed online and continuously, making autonomous reactor operation more attainable.




Abstract:Epilepsy is a neurological disorder classified as the second most serious neurological disease known to humanity, after stroke. Localization of the epileptogenic zone is an important step for epileptic patient treatment, which starts with epileptic spike detection. The common practice for spike detection of brain signals is via visual scanning of the recordings, which is a subjective and a very time-consuming task. Motivated by that, this paper focuses on using machine learning for automatic detection of epileptic spikes in magnetoencephalography (MEG) signals. First, we used the Position Weight Matrix (PWM) method combined with a uniform quantizer to generate useful features. Second, the extracted features are classified using a Support Vector Machine (SVM) for the purpose of epileptic spikes detection. The proposed technique shows great potential in improving the spike detection accuracy and reducing the feature vector size. Specifically, the proposed technique achieved average accuracy up to 98\% in using 5-folds cross-validation applied to a balanced dataset of 3104 samples. These samples are extracted from 16 subjects where eight are healthy and eight are epileptic subjects using a sliding frame of size of 100 samples-points with a step-size of 2 sample-points