



Abstract:This paper develops a data-based moving horizon estimation (MHE) method for agile quadrotors. Accurate state estimation of the system is paramount for precise trajectory control for agile quadrotors; however, the high level of aerodynamic forces experienced by the quadrotors during high-speed flights make this task extremely challenging. These complex turbulent effects are difficult to model and the unmodelled dynamics introduce inaccuracies in the state estimation. In this work, we propose a method to model these aerodynamic effects using Gaussian Processes which we integrate into the MHE to achieve efficient and accurate state estimation with minimal computational burden. Through extensive simulation and experimental studies, this method has demonstrated significant improvement in state estimation performance displaying superior robustness to poor state measurements.
Abstract:This paper develops computationally efficient data-driven model predictive control (MPC) for Agile quadrotor flight. Agile quadrotors in high-speed flights can experience high levels of aerodynamic effects. Modeling these turbulent aerodynamic effects is a cumbersome task and the resulting model may be overly complex and computationally infeasible. Combining Gaussian Process (GP) regression models with a simple dynamic model of the system has demonstrated significant improvements in control performance. However, direct integration of the GP models to the MPC pipeline poses a significant computational burden to the optimization process. Therefore, we present an approach to separate the GP models to the MPC pipeline by computing the model corrections using reference trajectory and the current state measurements prior to the online MPC optimization. This method has been validated in the Gazebo simulation environment and has demonstrated of up to $50\%$ reduction in trajectory tracking error, matching the performance of the direct GP integration method with improved computational efficiency.



Abstract:This paper demonstrates the applicability of the combination of concurrent learning as a tool for parameter estimation and non-parametric Gaussian Process for online disturbance learning. A control law is developed by using both techniques sequentially in the context of feedback linearization. The concurrent learning algorithm estimates the system parameters of structured uncertainty without requiring persistent excitation, which are used in the design of the feedback linearization law. Then, a non-parametric Gaussian Process learns unstructured uncertainty. The closed-loop system stability for the nth-order system is proven using the Lyapunov stability theorem. The simulation results show that the tracking error is minimized (i) when true values of model parameters have not been provided, (ii) in the presence of disturbances introduced once the parameters have converged to their true values and (iii) when system parameters have not converged to their true values in the presence of disturbances.




Abstract:This paper addresses the trajectory tracking problem of an autonomous tractor-trailer system by using a fast distributed nonlinear model predictive control algorithm in combination with nonlinear moving horizon estimation for the state and parameter estimation in which constraints on the inputs and the states can be incorporated. The proposed control algorithm is capable of driving the tractor-trailer system to any desired trajectory ensuring high control accuracy and robustness against environmental disturbances.




Abstract:As a model is only an abstraction of the real system, unmodeled dynamics, parameter variations, and disturbances can result in poor performance of a conventional controller based on this model. In such cases, a conventional controller cannot remain well tuned. This paper presents the control of a spherical rolling robot by using an adaptive neuro-fuzzy controller in combination with a sliding-mode control (SMC)-theory-based learning algorithm. The proposed control structure consists of a neuro-fuzzy network and a conventional controller which is used to guarantee the asymptotic stability of the system in a compact space. The parameter updating rules of the neuro-fuzzy system using SMC theory are derived, and the stability of the learning is proven using a Lyapunov function. The simulation results show that the control scheme with the proposed SMC-theory-based learning algorithm is able to not only eliminate the steady-state error but also improve the transient response performance of the spherical rolling robot without knowing its dynamic equations.




Abstract:More efficient agricultural machinery is needed as agricultural areas become more limited and energy and labor costs increase. To increase their efficiency, trajectory tracking problem of an autonomous tractor, as an agricultural production machine, has been investigated in this study. As a widely used model-based approach, model predictive control is preferred in this paper to control the yaw dynamics of the tractor which can deal with the constraints on the states and the actuators in a system. The yaw dynamics is identified by using nonlinear least squares frequency domain system identification. The speed is controlled by a proportional-integral-derivative controller and a kinematic trajectory controller is used to calculate the desired speed and the desired yaw rate signals for the subsystems in order to minimize the tracking errors in both the longitudinal and transversal directions. The experimental results show the accuracy and the efficiency of the proposed control scheme in which the euclidean error is below $40$ cm for time-based straight line trajectories and $60$ cm for time-based curved line trajectories, respectively.




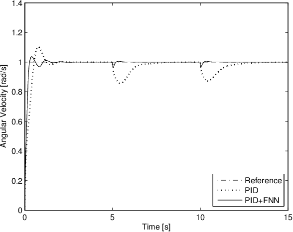
Abstract:Provision of some autonomous functions to an agricultural vehicle would lighten the job of the operator but in doing so, the accuracy should not be lost to still obtain an optimal yield. Autonomous navigation of an agricultural vehicle involves the control of different dynamic subsystems, such as the yaw angle dynamics and the longitudinal speed dynamics. In this study, a proportional-integral-derivative controller is used to control the longitudinal velocity of the tractor. For the control of the yaw angle dynamics, a proportional-derivative controller works in parallel with a type-2 fuzzy neural network. In such an arrangement, the former ensures the stability of the related subsystem, while the latter learns the system dynamics and becomes the leading controller. In this way, instead of modeling the interactions between the subsystems prior to the design of model-based control, we develop a control algorithm which learns the interactions online from the measured feedback error. In addition to the control of the stated subsystems, a kinematic controller is needed to correct the errors in both the x- and the y- axis for the trajectory tracking problem of the tractor. To demonstrate the real-time abilities of the proposed control scheme, an autonomous tractor is equipped with the use of reasonably priced sensors and actuators. Experimental results show the efficacy and efficiency of the proposed learning algorithm.




Abstract:This paper addresses the trajectory tracking problem of an autonomous tractor-trailer system by using a decentralized control approach. A fully decentralized model predictive controller is designed in which interactions between subsystems are neglected and assumed to be perturbations to each other. In order to have a robust design, a tube-based approach is proposed to handle the differences between the nominal model and real system. Nonlinear moving horizon estimation is used for the state and parameter estimation after each new measurement, and the estimated values are fed to robust tube-based decentralized nonlinear model predictive controller. The proposed control scheme is capable of driving the tractor-trailer system to any desired trajectory ensuring high control accuracy and robustness against neglected subsystem interactions and environmental disturbances. The experimental results show an accurate trajectory tracking performance on a bumpy grass field.
Abstract:In order to achieve faster and more robust convergence (especially under noisy working environments), a sliding mode theory-based learning algorithm has been proposed to tune both the premise and consequent parts of type-2 fuzzy neural networks in this paper. Differently from recent studies, where sliding mode control theory-based rules are proposed for only the consequent part of the network, the developed algorithm applies fully sliding mode parameter update rules for both the premise and consequent parts of the type-2 fuzzy neural networks. In addition, the responsible parameter for sharing the contributions of the lower and upper parts of the type-2 fuzzy membership functions is also tuned. Moreover, the learning rate of the network is updated during the online training. The stability of the proposed learning algorithm has been proved by using an appropriate Lyapunov function. Several comparisons have been realized and shown that the proposed algorithm has faster convergence speed than the existing methods such as gradient-based and swarm intelligence-based methods. Moreover, the proposed learning algorithm has a closed form, and it is easier to implement than the other existing methods.




Abstract:This paper proposes a new robust trajectory tracking error-based control approach for unmanned ground vehicles. A trajectory tracking error-based model is used to design a linear model predictive controller and its control action is combined with feedforward and robust control actions. The experimental results show that the proposed control structure is capable to let a tractor-trailer system track both linear and curvilinear target trajectories with low tracking error.