



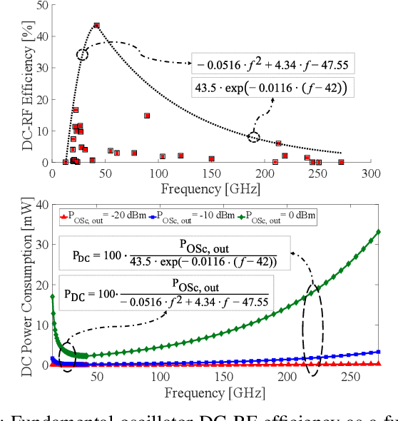
Abstract:Wireless Network-on-Chip (WNoC) systems, which interconnect chips using wireless links, face significant challenges in area and power consumption. To tackle these constraints, behavioral models (BMs) are crucial for assessing system performance under various conditions and optimizing parameters like data throughput and power consumption. Building transceivers (TRXs) physically is costly and time-consuming, making modeling a more practical approach. This paper develops a power consumption model for the sub-blocks of a WNoC transmitter (TX) at the chip level. By integrating these BMs with MATLAB, we aim to create a power model for TXs in WNoC architectures, optimized for CMOS technology operating at millimeter-wave and terahertz frequencies.
Abstract:Cognitive Architectures are the forefront of our research into developing an artificial cognition. However, they approach the problem from a separated memory and program model of computation. This model of computation poses a fundamental problem: the knowledge retrieval heuristic. In this paper we propose to solve this problem by using a new model of computation, one where the memory and the program are united: the Function-Representation. We propose a novel model of computation based on implementing and using these Function-Representations, and we explore its potential through mathematical definitions and proofs. We also talk about different ways to organise multiple Function-Representations, and explore the kind of functions that these Function-Representations can implement. Finally, we also explore the limitations of our proposal.
Abstract:Cognitive Architectures are the forefront of our research into developing an artificial cognition. However, they approach the problem from a separated memory and program model of computation. This model of computation poses a fundamental problem: the knowledge retrieval heuristic. In this paper we propose to solve this problem by using a new model of computation, one where the memory and the program are united: the Function-Representation. We propose a whole framework about how to implement and use these Function-Representations, and we explore their potential through mathematical definitions and proofs. We also talk about different ways to organise multiple Function-Representations, and explore the kind of functions that these Function-Representations can implement. Finally, we also explore the limitations of our proposal.




Abstract:Unsupervised learning methods have a soft inspiration in cognition models. To this day, the most successful unsupervised learning methods revolve around clustering samples in a mathematical space. In this paper we propose a state-of-the-art primitive-based unsupervised learning approach for decision-making inspired by novel cognition models. This representation-centric approach models the input space constructively as a distributed hierarchical structure in an input-agnostic way. We compared our approach with current state-of-the-art in unsupervised learning classification, and with current state-of-the-art in cancer type classification. We show how our proposal outperforms previous state-of-the-art. We also evaluate some cognition-like properties of our proposal where it not only outperforms the compared algorithms (even supervised learning ones), but it also shows a different, more cognition-like, behaviour.




Abstract:The Artificial Intelligence field seldom address the development of a fundamental building piece: a framework, methodology or algorithm to automatically build hierarchies of abstractions. This is a key requirement in order to build intelligent behaviour, as recent neuroscience studies clearly expose. In this paper we present a primitive-based framework to automatically generate hierarchies of constructive archetypes, as a theory of how to generate hierarchies of abstractions. We assume the existence of a primitive with very specific characteristics, and we develop our framework over it. We prove the effectiveness of our framework through mathematical definitions and proofs. Finally, we give a few insights about potential uses of our framework and the expected results.




Abstract:Application-specific quantum computers offer the most efficient means to tackle problems intractable by classical computers. Realizing these architectures necessitates a deep understanding of quantum circuit properties and their relationship to execution outcomes on quantum devices. Our study aims to perform for the first time a rigorous examination of quantum circuits by introducing graph theory-based metrics extracted from their qubit interaction graph and gate dependency graph alongside conventional parameters describing the circuit itself. This methodology facilitates a comprehensive analysis and clustering of quantum circuits. Furthermore, it uncovers a connection between parameters rooted in both qubit interaction and gate dependency graphs, and the performance metrics for quantum circuit mapping, across a range of established quantum device and mapping configurations. Among the various device configurations, we particularly emphasize modular (i.e., multi-core) quantum computing architectures due to their high potential as a viable solution for quantum device scalability. This thorough analysis will help us to: i) identify key attributes of quantum circuits that affect the quantum circuit mapping performance metrics; ii) predict the performance on a specific chip for similar circuit structures; iii) determine preferable combinations of mapping techniques and hardware setups for specific circuits; and iv) define representative benchmark sets by clustering similarly structured circuits.
Abstract:The Artificial Intelligence field is flooded with optimisation methods. In this paper, we change the focus to developing modelling methods with the aim of getting us closer to Artificial General Intelligence. To do so, we propose a novel way to interpret reality as an information source, that is later translated into a computational framework able to capture and represent such information. This framework is able to build elements of classical cognitive architectures, like Long Term Memory and Working Memory, starting from a simple primitive that only processes Spatial Distributed Representations. Moreover, it achieves such level of verticality in a seamless scalable hierarchical way.




Abstract:The upcoming landscape of Earth Observation missions will defined by networked heterogeneous nanosatellite constellations required to meet strict mission requirements, such as revisit times and spatial resolution. However, scheduling satellite communications in these satellite networks through efficiently creating a global satellite Contact Plan (CP) is a complex task, with current solutions requiring ground-based coordination or being limited by onboard computational resources. The paper proposes a novel approach to overcome these challenges by modeling the constellations and CP as dynamic networks and employing graph-based techniques. The proposed method utilizes a state-of-the-art dynamic graph neural network to evaluate the performance of a given CP and update it using a heuristic algorithm based on simulated annealing. The trained neural network can predict the network delay with a mean absolute error of 3.6 minutes. Simulation results show that the proposed method can successfully design a contact plan for large satellite networks, improving the delay by 29.1%, similar to a traditional approach, while performing the objective evaluations 20x faster.