



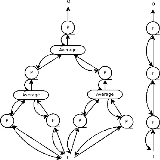
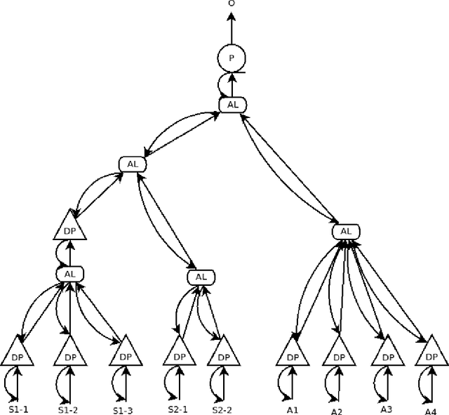
The Artificial Intelligence field seldom address the development of a fundamental building piece: a framework, methodology or algorithm to automatically build hierarchies of abstractions. This is a key requirement in order to build intelligent behaviour, as recent neuroscience studies clearly expose. In this paper we present a primitive-based framework to automatically generate hierarchies of constructive archetypes, as a theory of how to generate hierarchies of abstractions. We assume the existence of a primitive with very specific characteristics, and we develop our framework over it. We prove the effectiveness of our framework through mathematical definitions and proofs. Finally, we give a few insights about potential uses of our framework and the expected results.