



Abstract:In this paper, we consider recovering $n$ dimensional signals from $m$ binary measurements corrupted by noises and sign flips under the assumption that the target signals have low generative intrinsic dimension, i.e., the target signals can be approximately generated via an $L$-Lipschitz generator $G: \mathbb{R}^k\rightarrow\mathbb{R}^{n}, k\ll n$. Although the binary measurements model is highly nonlinear, we propose a least square decoder and prove that, up to a constant $c$, with high probability, the least square decoder achieves a sharp estimation error $\mathcal{O} (\sqrt{\frac{k\log (Ln)}{m}})$ as long as $m\geq \mathcal{O}( k\log (Ln))$. Extensive numerical simulations and comparisons with state-of-the-art methods demonstrated the least square decoder is robust to noise and sign flips, as indicated by our theory. By constructing a ReLU network with properly chosen depth and width, we verify the (approximately) deep generative prior, which is of independent interest.


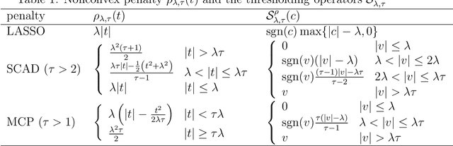
Abstract:Recovering sparse signals from observed data is an important topic in signal/imaging processing, statistics and machine learning. Nonconvex penalized least squares have been attracted a lot of attentions since they enjoy nice statistical properties. Computationally, coordinate descent (CD) is a workhorse for minimizing the nonconvex penalized least squares criterion due to its simplicity and scalability. In this work, we prove the linear convergence rate to CD for solving MCP/SCAD penalized least squares problems.




Abstract:Although many achievements have been made since Google threw out the paradigm of federated learning (FL), there still exists much room for researchers to optimize its efficiency. In this paper, we propose a high efficient FL method equipped with the double head design aiming for personalization optimization over non-IID dataset, and the gradual model sharing design for communication saving. Experimental results show that, our method has more stable accuracy performance and better communication efficient across various data distributions than other state of art methods (SOTAs), makes it more industry-friendly.