



Abstract:Automated Machine Learning (AutoML) has significantly advanced the efficiency of ML-focused software development by automating hyperparameter optimization and pipeline construction, reducing the need for manual intervention. Quantum Machine Learning (QML) offers the potential to surpass classical machine learning (ML) capabilities by utilizing quantum computing. However, the complexity of QML presents substantial entry barriers. We introduce \emph{AutoQML}, a novel framework that adapts the AutoML approach to QML, providing a modular and unified programming interface to facilitate the development of QML pipelines. AutoQML leverages the QML library sQUlearn to support a variety of QML algorithms. The framework is capable of constructing end-to-end pipelines for supervised learning tasks, ensuring accessibility and efficacy. We evaluate AutoQML across four industrial use cases, demonstrating its ability to generate high-performing QML pipelines that are competitive with both classical ML models and manually crafted quantum solutions.




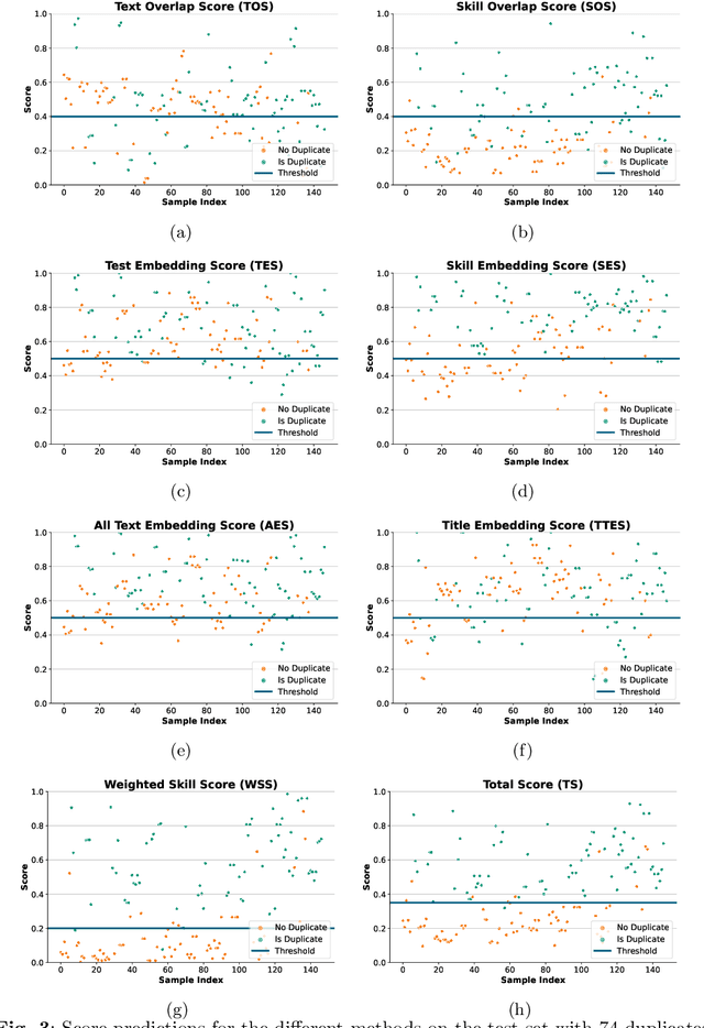
Abstract:Job descriptions are posted on many online channels, including company websites, job boards or social media platforms. These descriptions are usually published with varying text for the same job, due to the requirements of each platform or to target different audiences. However, for the purpose of automated recruitment and assistance of people working with these texts, it is helpful to aggregate job postings across platforms and thus detect duplicate descriptions that refer to the same job. In this work, we propose an approach for detecting duplicates in job descriptions. We show that combining overlap-based character similarity with text embedding and keyword matching methods lead to convincing results. In particular, we show that although no approach individually achieves satisfying performance, a combination of string comparison, deep textual embeddings, and the use of curated weighted lookup lists for specific skills leads to a significant boost in overall performance. A tool based on our approach is being used in production and feedback from real-life use confirms our evaluation.




Abstract:This work describes the selection approach and analysis of existing AutoML frameworks regarding their capability of a) incorporating Quantum Machine Learning (QML) algorithms into this automated solving approach of the AutoML framing and b) solving a set of industrial use-cases with different ML problem types by benchmarking their most important characteristics. For that, available open-source tools are condensed into a market overview and suitable frameworks are systematically selected on a multi-phase, multi-criteria approach. This is done by considering software selection approaches, as well as in terms of the technical perspective of AutoML. The requirements for the framework selection are divided into hard and soft criteria regarding their software and ML attributes. Additionally, a classification of AutoML frameworks is made into high- and low-level types, inspired by the findings of. Finally, we select Ray and AutoGluon as the suitable low- and high-level frameworks respectively, as they fulfil all requirements sufficiently and received the best evaluation feedback during the use-case study. Based on those findings, we build an extended Automated Quantum Machine Learning (AutoQML) framework with QC-specific pipeline steps and decision characteristics for hardware and software constraints.
Abstract:The emergence of Large Language Models (LLMs) has boosted performance and possibilities in various NLP tasks. While the usage of generative AI models like ChatGPT opens up new opportunities for several business use cases, their current tendency to hallucinate fake content strongly limits their applicability to document analysis, such as information retrieval from documents. In contrast, extractive language models like question answering (QA) or passage retrieval models guarantee query results to be found within the boundaries of an according context document, which makes them candidates for more reliable information extraction in productive environments of companies. In this work we propose an approach that uses and integrates extractive QA models for improved feature extraction of German business documents such as insurance reports or medical leaflets into a document analysis solution. We further show that fine-tuning existing German QA models boosts performance for tailored extraction tasks of complex linguistic features like damage cause explanations or descriptions of medication appearance, even with using only a small set of annotated data. Finally, we discuss the relevance of scoring metrics for evaluating information extraction tasks and deduce a combined metric from Levenshtein distance, F1-Score, Exact Match and ROUGE-L to mimic the assessment criteria from human experts.




Abstract:Price forecasting for used construction equipment is a challenging task due to spatial and temporal price fluctuations. It is thus of high interest to automate the forecasting process based on current market data. Even though applying machine learning (ML) to these data represents a promising approach to predict the residual value of certain tools, it is hard to implement for small and medium-sized enterprises due to their insufficient ML expertise. To this end, we demonstrate the possibility of substituting manually created ML pipelines with automated machine learning (AutoML) solutions, which automatically generate the underlying pipelines. We combine AutoML methods with the domain knowledge of the companies. Based on the CRISP-DM process, we split the manual ML pipeline into a machine learning and non-machine learning part. To take all complex industrial requirements into account and to demonstrate the applicability of our new approach, we designed a novel metric named method evaluation score, which incorporates the most important technical and non-technical metrics for quality and usability. Based on this metric, we show in a case study for the industrial use case of price forecasting, that domain knowledge combined with AutoML can weaken the dependence on ML experts for innovative small and medium-sized enterprises which are interested in conducting such solutions.




Abstract:Extracting information from unstructured text documents is a demanding task, since these documents can have a broad variety of different layouts and a non-trivial reading order, like it is the case for multi-column documents or nested tables. Additionally, many business documents are received in paper form, meaning that the textual contents need to be digitized before further analysis. Nonetheless, automatic detection and capturing of crucial document information like the sender address would boost many companies' processing efficiency. In this work we propose a hybrid approach that combines deep learning with reasoning for finding and extracting addresses from unstructured text documents. We use a visual deep learning model to detect the boundaries of possible address regions on the scanned document images and validate these results by analyzing the containing text using domain knowledge represented as a rule based system.