



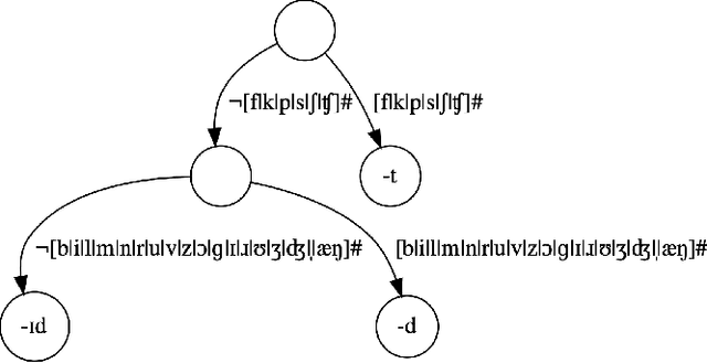
Abstract:As children acquire the knowledge of their language's morphology, they invariably discover the productive processes that can generalize to new words. Morphological learning is made challenging by the fact that even fully productive rules have exceptions, as in the well-known case of English past tense verbs, which features the -ed rule against the irregular verbs. The Tolerance Principle is a recent proposal that provides a precise threshold of exceptions that a productive rule can withstand. Its empirical application so far, however, requires the researcher to fully specify rules defined over a set of words. We propose a greedy search model that automatically hypothesizes rules and evaluates their productivity over a vocabulary. When the search for broader productivity fails, the model recursively subdivides the vocabulary and continues the search for productivity over narrower rules. Trained on psychologically realistic data from child-directed input, our model displays developmental patterns observed in child morphology acquisition, including the notoriously complex case of German noun pluralization. It also produces responses to nonce words that, despite receiving only a fraction of the training data, are more similar to those of human subjects than current neural network models' responses are.




Abstract:Recent advances in neural architectures have revived the problem of morphological rule learning. We evaluate the Transformer as a model of morphological rule learning and compare it with Recurrent Neural Networks (RNN) on English, German, and Russian. We bring to the fore a hitherto overlooked problem, the morphological gaps, where the expected inflection of a word is missing. For example, 63 Russian verbs lack a first-person-singular present form such that one cannot comfortably say "*o\v{s}\v{c}u\v{s}\v{c}u" ("I feel"). Even English has gaps, such as the past participle of "stride": the function of morphological inflection can be partial. Both neural architectures produce inflections that ought to be missing. Analyses reveal that Transformers recapitulate the statistical distribution of inflections in the training data, similar to RNNs. Models' success on English and German is driven by the fact that rules in these languages can be identified with the majority forms, which is not universal.




Abstract:We introduce and implement a cognitively plausible model for learning from generic language, statements that express generalizations about members of a category and are an important aspect of concept development in language acquisition (Carlson & Pelletier, 1995; Gelman, 2009). We extend a computational framework designed to model grounded language acquisition by introducing the concept network. This new layer of abstraction enables the system to encode knowledge learned from generic statements and represent the associations between concepts learned by the system. Through three tasks that utilize the concept network, we demonstrate that our extensions to ADAM can acquire generic information and provide an example of how ADAM can be used to model language acquisition.




Abstract:We present ADAM, a software system for designing and running child language learning experiments in Python. The system uses a virtual world to simulate a grounded language acquisition process in which the language learner utilizes cognitively plausible learning algorithms to form perceptual and linguistic representations of the observed world. The modular nature of ADAM makes it easy to design and test different language learning curricula as well as learning algorithms. In this report, we describe the architecture of the ADAM system in detail, and illustrate its components with examples. We provide our code.