



Abstract:Pyrocumulonimbus (pyroCb) clouds are storm clouds generated by extreme wildfires. PyroCbs are associated with unpredictable, and therefore dangerous, wildfire spread. They can also inject smoke particles and trace gases into the upper troposphere and lower stratosphere, affecting the Earth's climate. As global temperatures increase, these previously rare events are becoming more common. Being able to predict which fires are likely to generate pyroCb is therefore key to climate adaptation in wildfire-prone areas. This paper introduces Pyrocast, a pipeline for pyroCb analysis and forecasting. The pipeline's first two components, a pyroCb database and a pyroCb forecast model, are presented. The database brings together geostationary imagery and environmental data for over 148 pyroCb events across North America, Australia, and Russia between 2018 and 2022. Random Forests, Convolutional Neural Networks (CNNs), and CNNs pretrained with Auto-Encoders were tested to predict the generation of pyroCb for a given fire six hours in advance. The best model predicted pyroCb with an AUC of $0.90 \pm 0.04$.




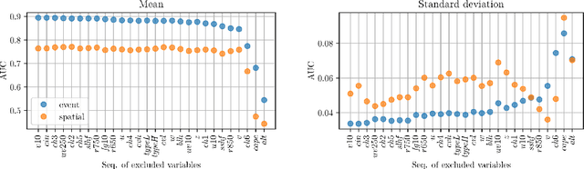
Abstract:A first causal discovery analysis from observational data of pyroCb (storm clouds generated from extreme wildfires) is presented. Invariant Causal Prediction was used to develop tools to understand the causal drivers of pyroCb formation. This includes a conditional independence test for testing $Y$ conditionally independent of $E$ given $X$ for binary variable $Y$ and multivariate, continuous variables $X$ and $E$, and a greedy-ICP search algorithm that relies on fewer conditional independence tests to obtain a smaller more manageable set of causal predictors. With these tools, we identified a subset of seven causal predictors which are plausible when contrasted with domain knowledge: surface sensible heat flux, relative humidity at $850$ hPa, a component of wind at $250$ hPa, $13.3$ micro-meters, thermal emissions, convective available potential energy, and altitude.