



Abstract:This article proposes a novel strategy for enhancing secure wireless communication through the use of a simultaneously transmitting and reflecting reconfigurable intelligent surface (STAR-RIS) in a multiple-input single-output system. In the presence of energy-harvesting eavesdroppers, the study aims to maximize the secrecy rate while adhering to strict energy harvesting constraints. By dynamically manipulating the wireless environment with the STAR-RIS, the research examines the balance between harvested energy and secrecy rate under two key protocols: energy splitting and mode selection. The study addresses both imperfect and perfect channel state information (CSI) and formulates a complex non-convex optimization problem, which is solved using a penalty concave convex procedure combined with an alternating optimization algorithm. The method optimizes beamforming and STAR-RIS transmission and reflection coefficients to achieve a optimal balance between secure communication and energy harvesting constraints. Numerical simulations show that the proposed approach is effective, even with imperfect CSI, and outperforms conventional RIS methods in terms of robust security and energy performance.




Abstract:Cyber-physical systems have recently been used in several areas (such as connected and autonomous vehicles) due to their high maneuverability. On the other hand, they are susceptible to cyber-attacks. Radio frequency (RF) fingerprinting emerges as a promising approach. This work aims to analyze the impact of decoupling tapped delay line and clustered delay line (TDL+CDL) augmentation-driven deep learning (DL) on transmitter-specific fingerprints to discriminate malicious users from legitimate ones. This work also considers 5G-only-CDL, WiFi-only-TDL augmentation approaches. RF fingerprinting models are sensitive to changing channels and environmental conditions. For this reason, they should be considered during the deployment of a DL model. Data acquisition can be another option. Nonetheless, gathering samples under various conditions for a train set formation may be quite hard. Consequently, data acquisition may not be feasible. This work uses a dataset that includes 5G, 4G, and WiFi samples, and it empowers a CDL+TDL-based augmentation technique in order to boost the learning performance of the DL model. Numerical results show that CDL+TDL, 5G-only-CDL, and WiFi-only-TDL augmentation approaches achieve 87.59%, 81.63%, 79.21% accuracy on unobserved data while TDL/CDL augmentation technique and no augmentation approach result in 77.81% and 74.84% accuracy on unobserved data, respectively.




Abstract:NOMA) technique based on an algebraic design is studied. We propose an improved low-density spreading (LDS) sequence design based on projective geometry. In terms of its bit error rate (BER) performance, our proposed improved LDS code set outperforms the existing LDS designs over the frequency nonselective Rayleigh fading and additive white Gaussian noise (AWGN) channels. We demonstrated that achieving the best BER depends on the minimum distance.




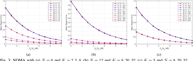
Abstract:An improved mean squared error (MSE) minimization solution based on eigenvector decomposition approach is conceived for wideband non-orthogonal multiple-access based computation over multi-access channel (NOMA-CoMAC) framework. This work aims at further developing NOMA-CoMAC for next-generation multimodal sensor networks, where a multimodal sensor monitors several environmental parameters such as temperature, pollution, humidity, or pressure. We demonstrate that our proposed scheme achieves an MSE value approximately 0.7 lower at E_b/N_o = 1 dB in comparison to that for the average sum-channel based method. Moreover, the MSE performance gain of our proposed solution increases even more for larger values of subcarriers and sensor nodes due to the benefit of the diversity gain. This, in return, suggests that our proposed scheme is eminently suitable for multimodal sensor networks.