



Abstract:We introduce the Seismic Language Model (SeisLM), a foundational model designed to analyze seismic waveforms -- signals generated by Earth's vibrations such as the ones originating from earthquakes. SeisLM is pretrained on a large collection of open-source seismic datasets using a self-supervised contrastive loss, akin to BERT in language modeling. This approach allows the model to learn general seismic waveform patterns from unlabeled data without being tied to specific downstream tasks. When fine-tuned, SeisLM excels in seismological tasks like event detection, phase-picking, onset time regression, and foreshock-aftershock classification. The code has been made publicly available on https://github.com/liutianlin0121/seisLM.




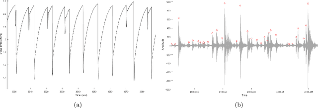
Abstract:Earthquake forecasting and prediction have long and in some cases sordid histories but recent work has rekindled interest based on advances in early warning, hazard assessment for induced seismicity and successful prediction of laboratory earthquakes. In the lab, frictional stick-slip events provide an analog for earthquakes and the seismic cycle. Labquakes are ideal targets for machine learning (ML) because they can be produced in long sequences under controlled conditions. Recent works show that ML can predict several aspects of labquakes using fault zone acoustic emissions. Here, we generalize these results and explore deep learning (DL) methods for labquake prediction and autoregressive (AR) forecasting. DL improves existing ML methods of labquake prediction. AR methods allow forecasting at future horizons via iterative predictions. We demonstrate that DL models based on Long-Short Term Memory (LSTM) and Convolution Neural Networks predict labquakes under several conditions, and that fault zone stress can be predicted with fidelity, confirming that acoustic energy is a fingerprint of fault zone stress. We predict also time to start of failure (TTsF) and time to the end of Failure (TTeF) for labquakes. Interestingly, TTeF is successfully predicted in all seismic cycles, while the TTsF prediction varies with the amount of preseismic fault creep. We report AR methods to forecast the evolution of fault stress using three sequence modeling frameworks: LSTM, Temporal Convolution Network and Transformer Network. AR forecasting is distinct from existing predictive models, which predict only a target variable at a specific time. The results for forecasting beyond a single seismic cycle are limited but encouraging. Our ML/DL models outperform the state-of-the-art and our autoregressive model represents a novel framework that could enhance current methods of earthquake forecasting.




Abstract:When a rock is subjected to stress it deforms by creep mechanisms that include formation and slip on small-scale internal cracks. Intragranular cracks and slip along grain contacts release energy as elastic waves called acoustic emissions (AE). Early research into AEs envisioned that these signals could be used in the future to predict rock falls, mine collapse, or even earthquakes. Today, nondestructive testing, a field of engineering, involves monitoring the spatio-temporal evolution of AEs with the goal of predicting time-to-failure for manufacturing tools and infrastructure. The monitoring process involves clustering AEs by damage mechanism (e.g. matrix cracking, delamination) to track changes within the material. In this study, we aim to adapt aspects of this process to the task of generalized earthquake prediction. Our data are generated in a laboratory setting using a biaxial shearing device and a granular fault gouge that mimics the conditions around tectonic faults. In particular, we analyze the temporal evolution of AEs generated throughout several hundred laboratory earthquake cycles. We use a Conscience Self-Organizing Map (CSOM) to perform topologically ordered vector quantization based on waveform properties. The resulting map is used to interactively cluster AEs according to damage mechanism. Finally, we use an event-based LSTM network to test the predictive power of each cluster. By tracking cumulative waveform features over the seismic cycle, the network is able to forecast the time-to-failure of the fault.