



Abstract:Classification of very high-resolution (VHR) aerial remote sensing (RS) images is a well-established research area in the remote sensing community as it provides valuable spatial information for decision-making. Existing works on VHR aerial RS image classification produce an excellent classification performance; nevertheless, they have a limited capability to well-represent VHR RS images having complex and small objects, thereby leading to performance instability. As such, we propose a novel plug-and-play multi-scale attention feature extraction block (MSAFEB) based on multi-scale convolution at two levels with skip connection, producing discriminative/salient information at a deeper/finer level. The experimental study on two benchmark VHR aerial RS image datasets (AID and NWPU) demonstrates that our proposal achieves a stable/consistent performance (minimum standard deviation of $0.002$) and competent overall classification performance (AID: 95.85\% and NWPU: 94.09\%).
Abstract:Very high-resolution (VHR) remote sensing (RS) scene classification is a challenging task due to the higher inter-class similarity and intra-class variability problems. Recently, the existing deep learning (DL)-based methods have shown great promise in VHR RS scene classification. However, they still provide an unstable classification performance. To address such a problem, we, in this letter, propose a novel DL-based approach. For this, we devise an enhanced VHR attention module (EAM), followed by the atrous spatial pyramid pooling (ASPP) and global average pooling (GAP). This procedure imparts the enhanced features from the corresponding level. Then, the multi-level feature fusion is performed. Experimental results on two widely-used VHR RS datasets show that the proposed approach yields a competitive and stable/robust classification performance with the least standard deviation of 0.001. Further, the highest overall accuracies on the AID and the NWPU datasets are 95.39% and 93.04%, respectively.


Abstract:This paper explores automated face and facial landmark detection of neonates, which is an important first step in many video-based neonatal health applications, such as vital sign estimation, pain assessment, sleep-wake classification, and jaundice detection. Utilising three publicly available datasets of neonates in the clinical environment, 366 images (258 subjects) and 89 (66 subjects) were annotated for training and testing, respectively. Transfer learning was applied to two YOLO-based models, with input training images augmented with random horizontal flipping, photo-metric colour distortion, translation and scaling during each training epoch. Additionally, the re-orientation of input images and fusion of trained deep learning models was explored. Our proposed model based on YOLOv7Face outperformed existing methods with a mean average precision of 84.8% for face detection, and a normalised mean error of 0.072 for facial landmark detection. Overall, this will assist in the development of fully automated neonatal health assessment algorithms.




Abstract:Monkeypox virus is emerging slowly with the decline of COVID-19 virus infections around the world. People are afraid of it, thinking that it would appear as a pandemic like COVID-19. As such, it is crucial to detect them earlier before widespread community transmission. AI-based detection could help identify them at the early stage. In this paper, we aim to compare 13 different pre-trained deep learning (DL) models for the Monkeypox virus detection. For this, we initially fine-tune them with the addition of universal custom layers for all of them and analyse the results using four well-established measures: Precision, Recall, F1-score, and Accuracy. After the identification of the best-performing DL models, we ensemble them to improve the overall performance using a majority voting over the probabilistic outputs obtained from them. We perform our experiments on a publicly available dataset, which results in average Precision, Recall, F1-score, and Accuracy of 85.44\%, 85.47\%, 85.40\%, and 87.13\%, respectively with the help of our proposed ensemble approach. These encouraging results, which outperform the state-of-the-art methods, suggest that the proposed approach is applicable to health practitioners for mass screening.




Abstract:With the rise of deep learning algorithms nowadays, scene image representation methods on big data (e.g., SUN-397) have achieved a significant performance boost in classification. However, the performance is still limited because the scene images are mostly complex in nature having higher intra-class dissimilarity and inter-class similarity problems. To deal with such problems, there are several methods proposed in the literature with their own advantages and limitations. A detailed study of previous works is necessary to understand their pros and cons in image representation and classification. In this paper, we review the existing scene image representation methods that are being used widely for image classification. For this, we, first, devise the taxonomy using the seminal existing methods proposed in the literature to this date. Next, we compare their performance both qualitatively (e.g., quality of outputs, pros/cons, etc.) and quantitatively (e.g., accuracy). Last, we speculate the prominent research directions in scene image representation tasks. Overall, this survey provides in-depth insights and applications of recent scene image representation methods for traditional Computer Vision (CV)-based methods, Deep Learning (DL)-based methods, and Search Engine (SE)-based methods.




Abstract:Because of the current COVID-19 pandemic with its increasing fears among people, it has triggered several health complications such as depression and anxiety. Such complications have not only affected the developed countries but also developing countries such as Nepal. These complications can be understood from peoples' tweets/comments posted online after their proper analysis and sentiment classification. Nevertheless, owing to the limited number of tokens/words in each tweet, it is always crucial to capture multiple information associated with them for their better understanding. In this study, we, first, represent each tweet by combining both syntactic and semantic information, called hybrid features. The syntactic information is generated from the bag of words method, whereas the semantic information is generated from the combination of the fastText-based (ft) and domain-specific (ds) methods. Second, we design a novel multi-channel convolutional neural network (MCNN), which ensembles the multiple CNNs, to capture multi-scale information for better classification. Last, we evaluate the efficacy of both the proposed feature extraction method and the MCNN model classifying tweets into three sentiment classes (positive, neutral and negative) on NepCOV19Tweets dataset, which is the only public COVID-19 tweets dataset in Nepali language. The evaluation results show that the proposed hybrid features outperform individual feature extraction methods with the highest classification accuracy of 69.7% and the MCNN model outperforms the existing methods with the highest classification accuracy of 71.3% during classification.



Abstract:Neonatal respiratory distress is a common condition that if left untreated, can lead to short- and long-term complications. This paper investigates the usage of digital stethoscope recorded chest sounds taken within 1min post-delivery, to enable early detection and prediction of neonatal respiratory distress. Fifty-one term newborns were included in this study, 9 of whom developed respiratory distress. For each newborn, 1min anterior and posterior recordings were taken. These recordings were pre-processed to remove noisy segments and obtain high-quality heart and lung sounds. The random undersampling boosting (RUSBoost) classifier was then trained on a variety of features, such as power and vital sign features extracted from the heart and lung sounds. The RUSBoost algorithm produced specificity, sensitivity, and accuracy results of 85.0%, 66.7% and 81.8%, respectively.




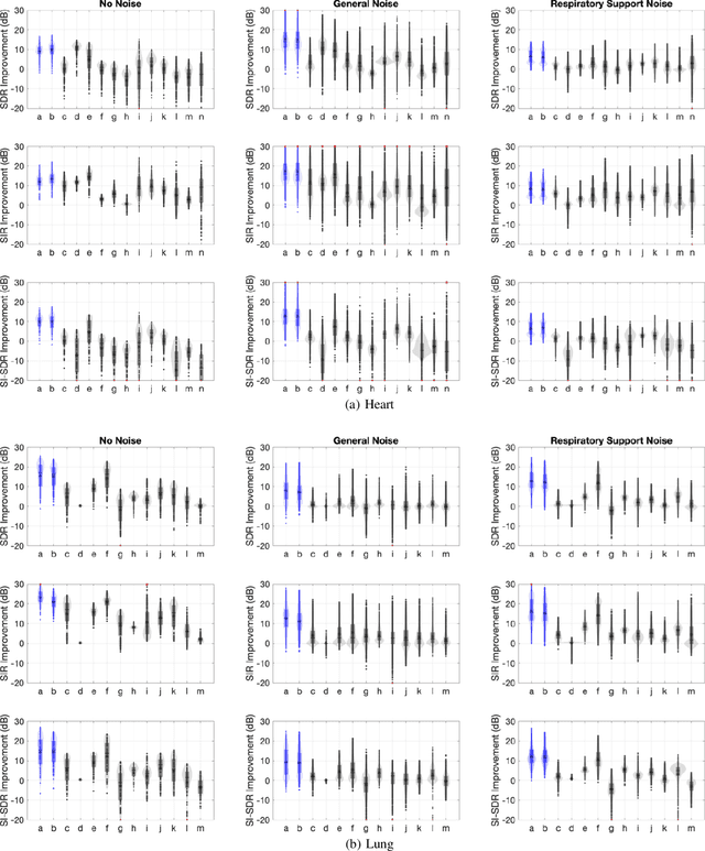
Abstract:Stethoscope-recorded chest sounds provide the opportunity for remote cardio-respiratory health monitoring of neonates. However, reliable monitoring requires high-quality heart and lung sounds. This paper presents novel Non-negative Matrix Factorisation (NMF) and Non-negative Matrix Co-Factorisation (NMCF) methods for neonatal chest sound separation. To assess these methods and compare with existing single-source separation methods, an artificial mixture dataset was generated comprising of heart, lung and noise sounds. Signal-to-noise ratios were then calculated for these artificial mixtures. These methods were also tested on real-world noisy neonatal chest sounds and assessed based on vital sign estimation error and a signal quality score of 1-5 developed in our previous works. Additionally, the computational cost of all methods was assessed to determine the applicability for real-time processing. Overall, both the proposed NMF and NMCF methods outperform the next best existing method by 2.7dB to 11.6dB for the artificial dataset and 0.40 to 1.12 signal quality improvement for the real-world dataset. The median processing time for the sound separation of a 10s recording was found to be 28.3s for NMCF and 342ms for NMF. Because of stable and robust performance, we believe that our proposed methods are useful to denoise neonatal heart and lung sound in a real-world environment. Codes for proposed and existing methods can be found at: https://github.com/egrooby-monash/Heart-and-Lung-Sound-Separation.




Abstract:Digital stethoscopes in combination with telehealth allow chest sounds to be easily collected and transmitted for remote monitoring and diagnosis. Chest sounds contain important information about a newborn's cardio-respiratory health. However, low-quality recordings complicate the remote monitoring and diagnosis. In this study, a new method is proposed to objectively and automatically assess heart and lung signal quality on a 5-level scale in real-time and to assess the effect of signal quality on vital sign estimation. For the evaluation, a total of 207 10s long chest sounds were taken from 119 preterm and full-term babies. Thirty of the recordings from ten subjects were obtained with synchronous vital signs from the Neonatal Intensive Care Unit (NICU) based on electrocardiogram recordings. As reference, seven annotators independently assessed the signal quality. For automatic quality classification, 400 features were extracted from the chest sounds. After feature selection using minimum redundancy and maximum relevancy algorithm, class balancing, and hyper-parameter optimization, a variety of multi-class and ordinal classification and regression algorithms were trained. Then, heart rate and breathing rate were automatically estimated from the chest sounds using adapted pre-existing methods. The results of subject-wise leave-one-out cross-validation show that the best-performing models had a mean squared error (MSE) of 0.49 and 0.61, and balanced accuracy of 57% and 51% for heart and lung qualities, respectively. The best-performing models for real-time analysis (<200ms) had MSE of 0.459 and 0.67, and balanced accuracy of 57% and 46%, respectively. Our experimental results underscore that increasing the signal quality leads to a reduction in vital sign error, with only high-quality recordings having a mean absolute error of less than 5 beats per minute, as required for clinical usage.




Abstract:Driver drowsiness has caused a large number of serious injuries and deaths on public roads and incurred billions of taxpayer dollars in costs. Hence, monitoring of drowsiness is critical to reduce this burden on society. This paper surveys the broad range of solutions proposed to address the challenges of driver drowsiness, and identifies the key steps required for successful implementation. Although some commercial products already exist, with vehicle-based methods most commonly implemented by automotive manufacturers, these systems may not have the level of accuracy required to properly predict and monitor drowsiness. State-of-the-art models use physiological, behavioural and vehicle-based methods to detect drowsiness, with hybrid methods emerging as a superior approach. Current setbacks to implementing these methods include late detection, intrusiveness and subject diversity. In particular, physiological monitoring methods such as Electroencephalography (EEG) are intrusive to drivers; while behavioural monitoring is least robust, affected by external factors such as lighting, as well as being subject to privacy concerns. Drowsiness detection models are often developed and validated based on subjective measures, with the Karolinska Sleepiness Scale being the most popular. Subjective and incoherent labelling of drowsiness, lack of on road data and inconsistent protocols for data collection are among other challenges to be addressed to progress drowsiness detection for reliable on-road use.