



Abstract:Theoretical studies on chemical reaction mechanisms have been crucial in organic chemistry. Traditionally, calculating the manually constructed molecular conformations of transition states for chemical reactions using quantum chemical calculations is the most commonly used method. However, this way is heavily dependent on individual experience and chemical intuition. In our previous study, we proposed a research paradigm that uses enhanced sampling in QM/MM molecular dynamics simulations to study chemical reactions. This approach can directly simulate the entire process of a chemical reaction. However, the computational speed limits the use of high-precision potential energy functions for simulations. To address this issue, we present a scheme for training high-precision force fields for molecular modeling using our developed graph-neural-network-based molecular model, molecular configuration transformer. This potential energy function allows for highly accurate simulations at a low computational cost, leading to more precise calculations of the mechanism of chemical reactions. We have used this approach to study a Cope rearrangement reaction and a Carbonyl insertion reaction catalyzed by Manganese. This "AI+Physics" based simulation approach is expected to become a new trend in the theoretical study of organic chemical reaction mechanisms.




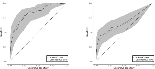
Abstract:Many problems that appear in biomedical decision making, such as diagnosing disease and predicting response to treatment, can be expressed as binary classification problems. The costs of false positives and false negatives vary across application domains and receiver operating characteristic (ROC) curves provide a visual representation of this trade-off. Nonparametric estimators for the ROC curve, such as a weighted support vector machine (SVM), are desirable because they are robust to model misspecification. While weighted SVMs have great potential for estimating ROC curves, their theoretical properties were heretofore underdeveloped. We propose a method for constructing confidence bands for the SVM ROC curve and provide the theoretical justification for the SVM ROC curve by showing that the risk function of the estimated decision rule is uniformly consistent across the weight parameter. We demonstrate the proposed confidence band method and the superior sensitivity and specificity of the weighted SVM compared to commonly used methods in diagnostic medicine using simulation studies. We present two illustrative examples: diagnosis of hepatitis C and a predictive model for treatment response in breast cancer.