Abstract:Orthogonal time frequency space (OTFS) modulation stands out as a promising waveform for sixth generation (6G) and beyond wireless communication systems, offering superior performance over conventional methods, particularly in high-mobility scenarios and dispersive channel conditions. Recent research has demonstrated that the reduced computational complexity of deep learning (DL)-based signal detection (SD) methods constitutes a compelling alternative to conventional techniques. In this study, low-complexity DL-based SD methods are proposed for a multiple-input multiple-output (MIMO)-OTFS system and examined under Nakagami-$m$ channel conditions. The symbols obtained from the receiver antennas are combined using maximum ratio combining (MRC) and detected with the help of a DL-based detector implemented with multi-layer perceptron (MLP), convolutional neural network (CNN), and residual network (ResNet). Complexity analysis reveals that the MLP architecture offers significantly lower computational complexity compared to CNN, ResNet, and classical methods such as maximum likelihood detection (MLD). Furthermore, numerical analyses have shown that the proposed DL-based detectors, despite their low complexity, achieve comparable bit error rate (BER) performance to that of a high-performance MLD under various system conditions.




Abstract:Orthogonal time-frequency space (OTFS) modulation has emerged as a powerful wireless communication technology that is specifically designed to address the challenges of high-mobility scenarios and significant Doppler effects. Unlike conventional modulation schemes that operate in the time-frequency (TF) domain, OTFS projects signals to the delay-Doppler (DD) domain, where wireless channels exhibit sparse and quasi-static characteristics. This fundamental transformation enables superior channel estimation (CE) performance in challenging propagation environments characterized by high-mobility, severe multipath effects, and rapidly time-varying channel conditions. This article provides a systematic examination of CE techniques for OTFS systems, covering the extensive research landscape from foundational methods to cutting-edge approaches. We present a detailed analysis of DD and TF domain CE techniques presented in the literature, including separate pilot, embedded pilot, and superimposed pilot approaches. The article encompasses various algorithmic frameworks including Bayesian learning, matching pursuit-based techniques, message passing algorithms, deep learning (DL)-based methods, and recent CE approaches. Additionally, we explore joint CE and signal detection (SD) strategies, the integration of OTFS with next-generation wireless systems including massive multiple-input multiple-output (MIMO), millimeter wave (mmWave) communications, reconfigurable intelligent surfaces (RISs), and integrated sensing and communication (ISAC) systems. Critical implementation challenges are presented, including leakage suppression, inter-Doppler interference mitigation, impulsive noise handling, signaling overhead reduction, guard space requirements, peak-to-average power ratio (PAPR) management, beam squint effects, and hardware impairments.
Abstract:This paper proposes the orthogonal time frequency space-based code index modulation (OTFS-CIM) scheme, a novel wireless communication system that combines OTFS modulation, which enhances error performance in high-mobility Rayleigh channels, with CIM technique, which improves spectral and energy efficiency, within a single-input multiple-output (SIMO) architecture. The proposed system is evaluated through Monte Carlo simulations for various system parameters. Results show that increasing the modulation order degrades performance, while more receive antennas enhance it. Comparative analyses of error performance, throughput, spectral efficiency, and energy saving demonstrate that OTFS-CIM outperforms traditional OTFS and OTFS-based spatial modulation (OTFS-SM) systems. Also, the proposed OTFS-CIM system outperforms benchmark systems in many performance metrics under high-mobility scenarios, making it a strong candidate for sixth generation (6G) and beyond.
Abstract:This paper proposes a new orthogonal time frequency space (OTFS)-based index modulation system called OTFS-aided media-based modulation (MBM) scheme (OTFS-MBM), which is a promising technique for high-mobility wireless communication systems. The OTFS technique transforms information into the delay-Doppler domain, providing robustness against channel variations, while the MBM system utilizes controllable radio frequency (RF) mirrors to enhance spectral efficiency. The combination of these two techniques offers improved bit error rate (BER) performance compared to conventional OTFS and OTFS-based spatial modulation (OTFS-SM) systems. The proposed system is evaluated through Monte Carlo simulations over high-mobility Rayleigh channels for various system parameters. Comparative throughput, spectral efficiency, and energy efficiency analyses are presented, and it is shown that OTFS-MBM outperforms traditional OTFS and OTFS-SM techniques. The proposed OTFS-MBM scheme stands out as a viable solution for sixth generation (6G) and next-generation wireless networks, enabling reliable communication in dynamic wireless environments.
Abstract:Current wireless communication technologies are insufficient in the face of ever-increasing demands. Therefore, novel and high-performance communication systems are needed. In this paper, a novel high data rate and high-performance index modulation scheme called double media-based modulation (DMBM) is proposed. The DMBM system doubles the number of mirror activation patterns (MAPs) and the number of transmitted symbols compared to the traditional MBM system during the same symbol period. In this way, the spectral efficiency of the DMBM is doubled and the error performance improves as the number of bits carried in the indices increases. Performance analysis of the DMBM scheme is evaluated for $M$-ary quadrature amplitude modulation ($M$-QAM) on Rayleigh fading channels. The error performance of the proposed DMBM system is compared with spatial modulation (SM), quadrature SM (QSM), MBM, and double SM (DSM) techniques. Also, the throughput, complexity, energy efficiency, spectral efficiency, and capacity analyses for the proposed DMBM system and SM, QSM, MBM, and DSM systems are presented. All analysis results show that the proposed DMBM system is superior to the compared systems.




Abstract:Reconfigurable intelligent surface (RIS) enhances signal quality by adjusting the phase of electromagnetic waves in wireless communication. Spatial modulation (SM), a prominent index modulation (IM) technique, provides high spectral efficiency and low energy consumption. In this article, a new wireless communication system is proposed by combining capacity-optimized antenna selection (COAS), antenna correlation antenna selection (ACAS), and Euclidean distance-optimized antenna selection (EDAS)-supported RIS-empowered receive SM (RIS-RSM) system (AS-RIS-RSM) in a single-input multiple-output (SIMO) structure. The proposed AS-RIS-RSM schemes (COAS-RIS-RSM, ACAS-RIS-RSM, and EDAS-RIS-RSM) have superior features such as high spectral efficiency, high energy efficiency, and low error data transmission. Integrating COAS, ACAS, and EDAS techniques into the system enables the selection of the channel with the best conditions, thus increasing the error performance of the proposed system. Also, using RIS increases the error performance of the system by controlling the transmitted signal to a certain extent. The analytical ABER results of the proposed AS-RIS-RSM systems are derived and shown to overlap with simulation results. For the proposed systems, an optimal maximum likelihood (ML) detector and a sub-optimal low-complexity greedy detector (GD) are offered. Also, capacity analyses of the proposed AS-RIS-RSM systems are derived and it is observed that they have higher capacity compared to RIS-QAM/PSK and RIS-RSM systems. Then, computational complexity analyses of the proposed COAS-RIS-RSM, ACAS-RIS-RSM, and EDAS-RIS-RSM systems are presented. The proposed systems have been compared to counterpart wireless communication systems including RIS-RSM, RIS-QAM, and RIS-PSK under equivalent conditions, demonstrating that the proposed systems achieve better error performance.




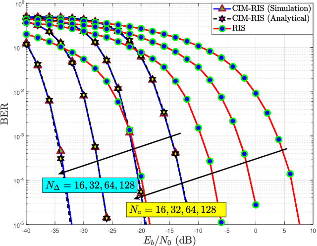
Abstract:In this study, a novel index modulation based communication system is proposed by combining the recently popular code index modulation-spread spectrum (CIM-SS) and reconfigurable intelligent surface (RIS) techniques. This technique is called CIM-RIS in short. In this proposed system, in addition to the traditional modulated symbols, the spreading code indices also carry data by being embedded in the signal, and the reflection/scattering properties of the signals are voluntarily controlled via the RIS technique. Consequently, the proposed system consumes little energy while transmitting extra bits of information compared to the traditional RIS. Average bit-error error (ABER) analysis of the proposed system is carried out and the system complexity, energy efficiency, and throughput analyses are obtained. Performance analysis of the system is carried out on Rayleigh fading channels for the M-ary quadrature amplitude modulation (QAM) technique. It has been shown by computer simulations that the CIM-RIS scheme has better error performance, faster data transmission speed, and lower transmission energy, compared to traditional RIS, transmit spatial modulation aided RIS (TSM-RIS) and transmit quadrature spatial modulation based RIS (TQSM-RIS) techniques.
Abstract:The demands for high data rate, reliability, high energy efficiency, high spectral efficiency, and low latency communication have been increasing rapidly. For this reason, communication models that use limited resources in the best way, allow fast data transmission, and increase performance has become very important. In this work, a novel high energy and spectral efficient reconfigurable intelligent surface aided spatial media-based modulation system, called RIS-SMBM, is proposed for Rayleigh fading channels. In addition to the bits carried in the M-QAM symbol, while media-based modulation (MBM) provides data bits to be carried in the indices of different channels according to the radio frequency (RF) mirrors are on or off, spatial modulation (SM) provides data bits to be carried in the indices of the transmit antennas. By combining these two modulation schemes, the spectral efficiency increases considerably since the amount of information transmitted in the same time interval is substantially increased. The optimal maximum-likelihood (ML) detector and the enhanced low-complexity (ELC) detector for the RIS-SMBM system are proposed. The ELC detector achieves near ML performance while reducing the complexity of the optimal ML detector for the proposed RIS-SMBM system. We analyze the average bit error rate (ABER), throughput, complexity, and energy efficiency for the RIS-SMBM scheme and verify the analytical results with Monte Carlo simulations. It has been observed that the proposed system provides better error performance as well as providing higher spectral and energy efficiency than benchmark systems.