



Abstract:This paper investigates a hardware-efficient massive multiple-input multiple-output integrated sensing and communication (MIMO-ISAC) system with 1-bit analog-to-digital converters (ADCs)/digital-to-analog converters (DACs). The proposed system, referred to as 1BitISAC, employs 1-bit DACs at the ISAC transmitter and 1-bit ADCs at the sensing receiver, achieving significant reductions in power consumption and hardware costs. For such kind of systems, two 1BitISAC joint transceiver designs, i.e., i) quality of service constrained 1BitISAC design and ii) quality of detection constrained design, are considered and the corresponding problems are formulated. In order to address these problems, we thoroughly analyze the radar detection performance after 1-bit ADCs quantization and the communication bit error rate. This analysis yields new design insights and leads to unique radar and communication metrics, which enables us to simplify the original problems and employ majorization-minimization and integer linear programming methods to solve the problems. Numerical results are provided to validate the performance analysis of the proposed 1BitISAC and to compare with other ISAC configurations. The superiority of the proposed 1BitISAC system in terms of balancing ISAC performance and energy efficiency is also demonstrated.




Abstract:The problem of joint direction-of-arrival estimation and distorted sensor detection has received a lot of attention in recent decades. Most state-of-the-art work formulated such a problem via low-rank and row-sparse decomposition, where the low-rank and row-sparse components were treated in an isolated manner. Such a formulation results in a performance loss. Differently, in this paper, we entangle the low-rank and row-sparse components by exploring their inherent connection. Furthermore, we take into account the maximal distortion level of the sensors. An alternating optimization scheme is proposed to solve the low-rank component and the sparse component, where a closed-form solution is derived for the low-rank component and a quadratic programming is developed for the sparse component. Numerical results exhibit the effectiveness and superiority of the proposed method.




Abstract:As a promising technology in beyond-5G (B5G) and 6G, dual-function radar-communication (DFRC) aims to ensure both radar sensing and communication on a single integrated platform with unified signaling schemes. To achieve accurate sensing and reliable communication, large-scale arrays are anticipated to be implemented in such systems, which brings out the prominent issues on hardware cost and power consumption. To address these issues, hybrid beamforming (HBF), beyond its successful deployment in communication-only systems, could be a promising approach in the emerging DFRC ones. In this article, we investigate the development of the HBF techniques on the DFRC system in a self-contained manner. Specifically, we first introduce the basics of the HBF based DFRC system, where the system model and different receive modes are discussed with focus. Then we illustrate the corresponding design principles, which span from the performance metrics and optimization formulations to the design approaches and our preliminary results. Finally, potential extension and key research opportunities, such as the combination with the reconfigurable intelligent surface, are discussed concisely.




Abstract:The optical flow estimation has been assessed in various applications. In this paper, we propose a novel method named motion edge structure difference(MESD) to assess estimation errors of optical flow fields on edge of motion objects. We implement comparison experiments for MESD by evaluating five representative optical flow algorithms on four popular benchmarks: MPI Sintel, Middlebury, KITTI 2012 and KITTI 2015. Our experimental results demonstrate that MESD can reasonably and discriminatively assess estimation errors of optical flow fields on motion edge. The results indicate that MESD could be a supplementary metric to existing general assessment metrics for evaluating optical flow algorithms in related computer vision applications.




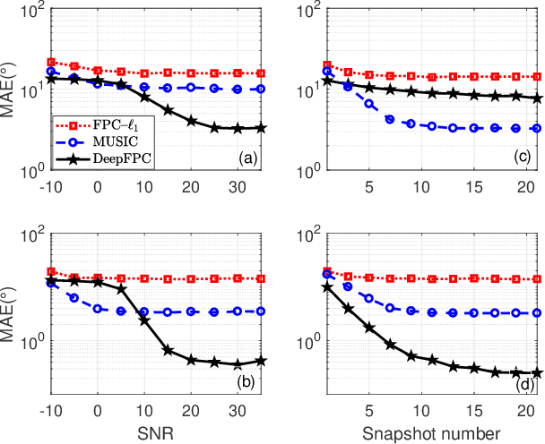
Abstract:We present DeepFPC, a novel deep neural network designed by unfolding the iterations of the fixed-point continuation algorithm with one-sided l1-norm (FPC-l1), which has been proposed for solving the 1-bit compressed sensing problem. The network architecture resembles that of deep residual learning and incorporates prior knowledge about the signal structure (i.e., sparsity), thereby offering interpretability by design. Once DeepFPC is properly trained, a sparse signal can be recovered fast and accurately from quantized measurements. The proposed model is evaluated in the task of direction-of-arrival (DOA) estimation and is shown to outperform state-of-the-art algorithms, namely, the iterative FPC-l1 algorithm and the 1-bit MUSIC method.