Abstract:In orthogonal frequency-division multiplexing-based radar and integrated sensing and communication systems, the sensing range is traditionally limited by the round-trip time corresponding to the cyclic prefix duration. Targets whose echoes arrive after this duration induce intersymbol interference (ISI) and associated intercarrier interference (ICI), which significantly degrade detection performance, elevate the interference-noise floor in the radar image, and reduce the useful signal power due to window mismatch. Existing methods face a trade-off between recovering useful signal and suppressing interference, particularly in multi-target scenarios. This paper proposes two frameworks to resolve this dilemma, offering a flexible trade-off between computational cost and target detection performance. First, a signal model is derived, demonstrating that ISI and ICI-oriented interference often dominates thermal noise in high-dynamic-range scenarios. To combat the ISI and ICI-based interference-noise floor increase, joint-interference cancellation with coherent compensation is proposed. This approach is an efficient evolution of the successive-interference cancellation algorithm, utilizing high-precision chirp Z-transform estimation and frequency-domain coherent compensation to recover weak distant targets. For scenarios requiring maximum precision, the full reconstruction-based sliding window scheme is presented, which shifts the receive window to capture optimal signal energy while performing full-signal reconstruction for all detected targets. Numerical results show that both methods outperform state-of-the-art benchmarks.




Abstract:We investigate the impact of higher-order modulation formats on the sensing performance of single-carrier joint communication and sensing (JCAS) systems. Several separate components such as a beamformer, a modulator, a target detector, an angle of arrival (AoA) estimator and a communication demapper are implemented as trainable neural networks (NNs). We compare geometrically shaped modulation formats to a classical quadrature amplitude modulation (QAM) scheme. We assess the influence of multi-snapshot sensing and varying signal-to-noise ratio (SNR) on the overall performance of the autoencoder-based system. To improve the training behavior of the system, we decouple the loss functions from the respective SNR values and the number of sensing snapshots, using upper bounds of the sensing and communication performance, namely the Cram\'er-Rao bound for AoA estimation and the mutual information for communication. The NN-based sensing outperforms classical algorithms, such as a Neyman-Pearson based power detector for object detection and ESPRIT for AoA estimation for both the trained constellations and QAM at low SNRs. We show that the gap in sensing performance between classical and shaped modulation formats can be significantly reduced through multi-snapshot sensing. Lastly, we demonstrate system extension to multi-user multiple-input multiple-output to address the improvement of spatial efficiency when servicing multiple user equipments. Our contribution emphasizes the importance of estimation bounds for training neural networks, especially when the trained solutions are deployed in varying SNR conditions.
Abstract:Integrated sensing and communication will be a key feature of future mobile networks, enabling highly efficient systems and numerous new applications by leveraging communication signals for sensing. In this paper, we analyze the impact of arbitrary modulation alphabets on the sensing performance of communication-centric OFDM systems as expected in the next-generation 6G networks. We evaluate existing interference mitigation techniques, such as coherent successive target cancellation, and propose an enhanced version of this algorithm. A systematic performance evaluation in multi-target scenarios, including the effects of scattering, demonstrates that our proposed interference mitigation methods achieve performance comparable to sensing-optimal constant modulus signals while utilizing higher order constellations for more efficient communications.




Abstract:Integrated sensing and communications (ISAC) promises new use cases for mobile communication systems by reusing the communication signal for radar-like sensing. However, sensing and communications (S&C) impose conflicting requirements on the modulation format, resulting in a tradeoff between their corresponding performance. This paper investigates constellation shaping as a means to simultaneously improve S&C performance in orthogonal frequency division multiplexing (OFDM)-based ISAC systems. We begin by deriving how the transmit symbols affect detection performance and derive theoretical lower and upper bounds on the maximum achievable information rate under a given sensing constraint. Using an autoencoder-based optimization, we investigate geometric, probabilistic, and joint constellation shaping, where joint shaping combines both approaches, employing both optimal maximum a-posteriori decoding and practical bit-metric decoding. Our results show that constellation shaping enables a flexible trade-off between S&C, can approach the derived upper bound, and significantly outperforms conventional modulation formats. Motivated by its practical implementation feasibility, we review probabilistic amplitude shaping (PAS) and propose a generalization tailored to ISAC. For this generalization, we propose a low-complexity log-likelihood ratio computation with negligible rate loss. We demonstrate that combining conventional and generalized PAS enables a flexible and low-complexity tradeoff between S&C, closely approaching the performance of joint constellation shaping.




Abstract:Integrated sensing and communications (ISAC) is expected to play a major role in numerous future applications, e.g., smart cities. Leveraging native radar signals like the frequency modulated continuous wave (FMCW) waveform additionally for data transmission offers a highly efficient use of valuable physical radio frequency (RF) resources allocated for automotive radar applications. In this paper, we propose the adoption of higher-order modulation formats for data modulation onto an FMCW waveform and provide a comprehensive overview of the entire signal processing chain. We evaluate the impact of each component on the overall sensing performance. While alignment algorithms are essential for removing the information signal at the sensing receiver, they also introduce significant dispersion to the received signal. We analyze this effect in detail. Notably, we demonstrate that the impact of non-constant amplitude modulation on sensing performance is statistically negligible when the complete signal processing chain is considered. This finding highlights the potential for achieving high data rates in FMCW-ISAC systems without compromising the sensing capabilities.



Abstract:We show that equalization-enhanced phase noise manifests as a time-varying, frequency-dependent phase error, which can be modeled and reversed by a time-varying all-pass finite impulse response filter.
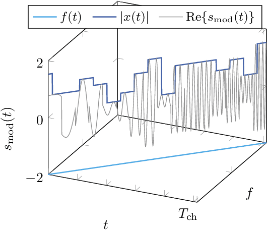
Abstract:6G communication systems promise to deliver sensing capabilities by utilizing the orthogonal frequency division multiplexing (OFDM) communication signal for sensing. However, the cyclic prefix inherent in OFDM systems limits the sensing range, necessitating compensation techniques to detect small, distant targets like drones. In this paper, we show that state-of-the-art coherent compensation methods fail in scenarios involving multiple targets, resulting in an increased noise floor in the radar image. Our contributions include a novel multi target coherent compensation algorithm and a generalized signal-to-interference-and-noise ratio for multiple targets to evaluate the performance. Our algorithm achieves the same detection performance at long distances requiring only 3.6% of the radio resources compared to classical OFDM radar processing. This enables resource efficient sensing at long distances in multi target scenarios with legacy communications-only networks.




Abstract:6G communications systems are expected to integrate radar-like sensing capabilities enabling novel use cases. However, integrated sensing and communications (ISAC) introduces a trade-off between communications and sensing performance because the optimal constellations for each task differ. In this paper, we compare geometric, probabilistic and joint constellation shaping for orthogonal frequency division multiplexing (OFDM)-ISAC systems using an autoencoder (AE) framework. We first derive the constellation-dependent detection probability and propose a novel loss function to include the sensing performance in the AE framework. Our simulation results demonstrate that constellation shaping enables a dynamic trade-off between communications and sensing. Depending on whether sensing or communications performance is prioritized, geometric or probabilistic constellation shaping is preferred. Joint constellation shaping combines the advantages of geometric and probabilistic shaping, significantly outperforming legacy modulation formats.




Abstract:Integrated sensing and communication (ISAC) is a novel capability expected for sixth generation (6G) cellular networks. To that end, several challenges must be addressed to enable both mono- and bistatic sensing in existing deployments. A common impairment in both architectures is oscillator phase noise (PN), which not only degrades communication performance, but also severely impairs radar sensing. To enable a broader understanding of orthogonal-frequency division multiplexing (OFDM)-based sensing impaired by PN, this article presents an analysis of sensing peformance in OFDM-based ISAC for different waveform parameter choices and settings in both mono- and bistatic architectures. In this context, the distortion of the adopted digital constellation modulation is analyzed and the resulting PN-induced effects in range-Doppler radar images are investigated both without and with PN compensation. These effects include peak power loss of target reflections and higher sidelobe levels, especially in the Doppler shift direction. In the conducted analysis, these effects are measured by the peak power loss ratio, peak-to-sidelobe level ratio, and integrated sidelobe level ratio parameters, the two latter being evaluated in both range and Doppler shift directions. In addition, the signal-to-interference ratio is analyzed to allow not only quantifying the distortion of a target reflection, but also measuring the interference floor level in a radar image. The achieved results allow to quantify not only the PN-induced impairments to a single target, but also how the induced degradation may impair the sensing performance of OFDM-based ISAC systems in multi-target scenarios.
Abstract:Non-negative matrix factorization with the generalized Kullback-Leibler divergence (NMF) and latent Dirichlet allocation (LDA) are two popular approaches for dimensionality reduction of non-negative data. Here, we show that NMF with $\ell_1$ normalization constraints on the columns of both matrices of the decomposition and a Dirichlet prior on the columns of one matrix is equivalent to LDA. To show this, we demonstrate that explicitly accounting for the scaling ambiguity of NMF by adding $\ell_1$ normalization constraints to the optimization problem allows a joint update of both matrices in the widely used multiplicative updates (MU) algorithm. When both of the matrices are normalized, the joint MU algorithm leads to probabilistic latent semantic analysis (PLSA), which is LDA without a Dirichlet prior. Our approach of deriving joint updates for NMF also reveals that a Lasso penalty on one matrix together with an $\ell_1$ normalization constraint on the other matrix is insufficient to induce any sparsity.