



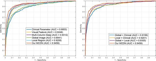
Abstract:A major cause of irreversible visual impairment is angle-closure glaucoma, which can be screened through imagery from Anterior Segment Optical Coherence Tomography (AS-OCT). Previous computational diagnostic techniques address this screening problem by extracting specific clinical measurements or handcrafted visual features from the images for classification. In this paper, we instead propose to learn from training data a discriminative representation that may capture subtle visual cues not modeled by predefined features. Based on clinical priors, we formulate this learning with a presented Multi-Context Deep Network (MCDN) architecture, in which parallel Convolutional Neural Networks are applied to particular image regions and at corresponding scales known to be informative for clinically diagnosing angle-closure glaucoma. The output feature maps of the parallel streams are merged into a classification layer to produce the deep screening result. Moreover, we incorporate estimated clinical parameters to further enhance performance. On a clinical AS-OCT dataset, our system is validated through comparisons to previous screening methods.