Abstract:We consider a cellular network containing $n$ nodes where nodes within a cell gossip with each other in a fully-connected fashion and a source shares updates with these nodes via a mobile drone. The mobile drone receives updates directly from the source and shares them with nodes in the cell where it currently resides. The drone moves between cells according to an underlying continuous-time Markov chain (CTMC). In this work, we evaluate the impact of the number of cells $f(n)$, drone speed $λ_m(n)$ and drone dissemination rate $λ_d(n)$ on the freshness of information of nodes in the network. We utilize the version age of information metric to quantify the freshness of information. We observe that the expected duration between two drone-to-cell service times depends on the stationary distribution of the underlying CTMC and $λ_d(n)$, but not on $λ_m(n)$. However, the version age instability in slow moving CTMCs makes high probability analysis for a general underlying CTMC difficult. Therefore, next we focus on the fully-connected drone mobility model. Under this model, we uncover a dual-bottleneck between drone mobility and drone dissemination speed: the version age is constrained by the slower of these two processes. If $λ_d(n) \gg λ_m(n)$, then the version age scaling of nodes is dominated by the inverse of $λ_m(n)$ and is independent of $λ_d(n)$. If $λ_m(n) \gg λ_d(n)$, then the version age scaling of nodes is dominated by the inverse of $λ_d(n)$ and is independent of $λ_m(n)$.


Abstract:We consider a source that shares updates with a network of $n$ gossiping nodes. The network's topology switches between two arbitrary topologies, with switching governed by a two-state continuous time Markov chain (CTMC) process. Information freshness is well-understood for static networks. This work evaluates the impact of time-varying connections on information freshness. In order to quantify the freshness of information, we use the version age of information metric. If the two networks have static long-term average version ages of $f_1(n)$ and $f_2(n)$ with $f_1(n) \ll f_2(n)$, then the version age of the varying-topologies network is related to $f_1(n)$, $f_2(n)$, and the transition rates in the CTMC. If the transition rates in the CTMC are faster than $f_1(n)$, the average version age of the varying-topologies network is $f_1(n)$. Further, we observe that the behavior of a vanishingly small fraction of nodes can severely impact the long-term average version age of a network in a negative way. This motivates the definition of a typical set of nodes in the network. We evaluate the impact of fast and slow CTMC transition rates on the typical set of nodes.




Abstract:We consider a gossiping network, where a source node sends updates to a network of $n$ gossiping nodes. Meanwhile, the connectivity topology of the gossiping network changes over time, among a finite number of connectivity ''states,'' such as the fully connected graph, the ring graph, the grid graph, etc. The transition of the connectivity graph among the possible options is governed by a finite state continuous time Markov chain (CTMC). When the CTMC is in a particular state, the associated graph topology of the gossiping network is in the way indicated by that state. We evaluate the impact of time-varying graph topologies on the freshness of information for nodes in the network. We use the version age of information metric to quantify the freshness of information at the nodes. Using a method similar to the first passage percolation method, we show that, if one of the states of the CTMC is the fully connected graph and the transition rates of the CTMC are constant, then the version age of a typical node in the network scales logarithmically with the number of nodes, as in the case if the network was always fully connected. That is, there is no loss in the age scaling, even if the network topology deviates from full connectivity, in this setting. We perform numerical simulations and analyze more generally how having different topologies and different CTMC rates (that might depend on the number of nodes) affect the average version age scaling of a node in the gossiping network.




Abstract:We consider a wireless network where a source generates packets and forwards them to a network containing $n$ nodes. The nodes in the network use the asynchronous push, pull or push-pull gossip communication protocols to maintain the most recent updates from the source. We use the version age of information metric to quantify the freshness of information in the network. Prior to this work, only the push gossiping protocol has been studied for age of information analysis. In this paper, we use the stochastic hybrid systems (SHS) framework to obtain recursive equations for the expected version age of sets of nodes in the time limit. We then show that the pull and push-pull protocols can achieve constant version age, while it is already known that the push protocol can only achieve logarithmic version age. We then show that the push-pull protocol performs better than the push and the pull protocol. Finally, we carry out numerical simulations to evaluate these results.




Abstract:We consider a gossiping network where a source forwards updates to a set of $n$ gossiping nodes that are placed in an arbitrary graph structure and gossip with their neighbors. In this paper, we analyze how mobility of nodes affects the freshness of nodes in the gossiping network. To model mobility, we let nodes randomly exchange positions with other nodes in the network. The position of the node determines how the node interacts with the rest of the network. In order to quantify information freshness, we use the version age of information metric. We use the stochastic hybrid system (SHS) framework to derive recursive equations to find the version age for a set of positions in the network in terms of the version ages of sets of positions that are one larger or of the same size. We use these recursive equations to find an upper bound for the average version age of a node in two example networks. We show that mobility can decrease the version age of nodes in a disconnected network from linear scaling in $n$ to at most square root scaling and even to constant scaling in some cases. We perform numerical simulations to analyze how mobility affects the version age of different positions in the network and also show that the upper bounds obtained for the example networks are tight.




Abstract:We consider a gossip network consisting of a source generating updates and $n$ nodes connected according to a given graph structure. The source keeps updates of a process, that might be generated or observed, and shares them with the gossiping network. The nodes in the network communicate with their neighbors and disseminate these version updates using a push-style gossip strategy. We use the version age metric to quantify the timeliness of information at the nodes. We first find an upper bound for the average version age for a set of nodes in a general network. Using this, we find the average version age scaling of a node in several network graph structures, such as two-dimensional grids, generalized rings and hyper-cubes. Prior to our work, it was known that when $n$ nodes are connected on a ring the version age scales as $O(n^{\frac{1}{2}})$, and when they are connected on a fully-connected graph the version age scales as $O(\log n)$. Ours is the first work to show an age scaling result for a connectivity structure other than the ring and the fully-connected network, which constitute the two extremes of network connectivity. Our work helps fill the gap between these two extremes by analyzing a large variety of graphs with intermediate connectivity, thus providing insight into the relationship between the connectivity structure of the network and the version age, and uncovering a network connectivity--information freshness tradeoff.




Abstract:Gossiping is a communication mechanism, used for fast information dissemination in a network, where each node of the network randomly shares its information with the neighboring nodes. To characterize the notion of fastness in the context of gossip networks, age of information (AoI) is used as a timeliness metric. In this article, we summarize the recent works related to timely gossiping in a network. We start with the introduction of randomized gossip algorithms as an epidemic algorithm for database maintenance, and how the gossiping literature was later developed in the context of rumor spreading, message passing and distributed mean estimation. Then, we motivate the need for timely gossiping in applications such as source tracking and decentralized learning. We evaluate timeliness scaling of gossiping in various network topologies, such as, fully connected, ring, grid, generalized ring, hierarchical, and sparse asymmetric networks. We discuss age-aware gossiping and the higher order moments of the age process. We also consider different variations of gossiping in networks, such as, file slicing and network coding, reliable and unreliable sources, information mutation, different adversarial actions in gossiping, and energy harvesting sensors. Finally, we conclude this article with a few open problems and future directions in timely gossiping.




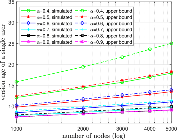
Abstract:We consider a gossip network consisting of a source forwarding updates and $n$ nodes placed geometrically in a ring formation. Each node gossips with $f(n)$ nodes on either side, thus communicating with $2f(n)$ nodes in total. $f(n)$ is a sub-linear, non-decreasing and positive function. The source keeps updates of a process, that might be generated or observed, and shares them with the nodes in the ring network. The nodes in the ring network communicate with their neighbors and disseminate these version updates using a push-style gossip strategy. We use the version age metric to quantify the timeliness of information at the nodes. Prior to this work, it was shown that the version age scales as $O(n^{\frac{1}{2}})$ in a ring network, i.e., when $f(n)=1$, and as $O(\log{n})$ in a fully-connected network, i.e., when $2f(n)=n-1$. In this paper, we find an upper bound for the average version age for a set of nodes in such a network in terms of the number of nodes $n$ and the number of gossiped neighbors $2 f(n)$. We show that if $f(n) = \Omega(\frac{n}{\log^2{n}})$, then the version age still scales as $\theta(\log{n})$. We also show that if $f(n)$ is a rational function, then the version age also scales as a rational function. In particular, if $f(n)=n^\alpha$, then version age is $O(n^\frac{1-\alpha}{2})$. Finally, through numerical calculations we verify that, for all practical purposes, if $f(n) = \Omega(n^{0.6})$, the version age scales as $O(\log{n})$.




Abstract:We consider a gossip network consisting of a source generating updates and $n$ nodes connected in a two-dimensional square grid. The source keeps updates of a process, that might be generated or observed, and shares them with the grid network. The nodes in the grid network communicate with their neighbors and disseminate these version updates using a push-style gossip strategy. We use the version age metric to quantify the timeliness of information at the nodes. We find an upper bound for the average version age for a set of nodes in a general network. Using this, we show that the average version age at a node scales as $O(n^{\frac{1}{3}})$ in a grid network. Prior to our work, it has been known that when $n$ nodes are connected on a ring the version age scales as $O(n^{\frac{1}{2}})$, and when they are connected on a fully-connected graph the version age scales as $O(\log n)$. Ours is the first work to show an age scaling result for a connectivity structure other than the ring and fully-connected networks that represent two extremes of network connectivity. Our work shows that higher connectivity on a grid compared to a ring lowers the age experience of each node from $O(n^{\frac{1}{2}})$ to $O(n^{\frac{1}{3}})$.