



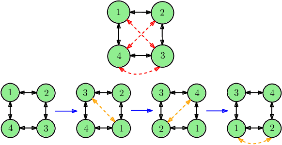
We consider a gossiping network where a source forwards updates to a set of $n$ gossiping nodes that are placed in an arbitrary graph structure and gossip with their neighbors. In this paper, we analyze how mobility of nodes affects the freshness of nodes in the gossiping network. To model mobility, we let nodes randomly exchange positions with other nodes in the network. The position of the node determines how the node interacts with the rest of the network. In order to quantify information freshness, we use the version age of information metric. We use the stochastic hybrid system (SHS) framework to derive recursive equations to find the version age for a set of positions in the network in terms of the version ages of sets of positions that are one larger or of the same size. We use these recursive equations to find an upper bound for the average version age of a node in two example networks. We show that mobility can decrease the version age of nodes in a disconnected network from linear scaling in $n$ to at most square root scaling and even to constant scaling in some cases. We perform numerical simulations to analyze how mobility affects the version age of different positions in the network and also show that the upper bounds obtained for the example networks are tight.