Abstract:A polarimetric synthetic aperture radar (PolSAR) system, which uses multiple images acquired with different polarizations in both transmission and reception, has the potential to improve the description and interpretation of the observed scene. This is typically achieved by exploiting the polarimetric covariance or coherence matrix associated with each pixel, which is processed to meet a specific goal in Earth observation. This paper presents a design framework for selecting the structure of the polarimetric covariance matrix that accurately reflects the symmetry associated with the analyzed pixels. The proposed methodology leverages both polarimetric and temporal information from multipass PolSAR images to enhance the retrieval of information from the acquired data. To accomplish this, it is assumed that the covariance matrix (of the overall acquired data) is given as the Kronecker product of the temporal and polarimetric covariances. An alternating maximization algorithm, known as the flip-flop method, is then developed to estimate both matrices while enforcing the symmetry constraint on the polarimetric covariance. Subsequently, the symmetry structure classification is formulated as a multiple hypothesis testing problem, which is solved using model order selection techniques. The proposed approach is quantitatively assessed on simulated data, showing its advantages over its competitor, which does not exploit temporal correlations. For example, it reaches accuracies of 94.6% and 92.0% for the reflection and azimuth symmetry classes, respectively, while the competitor achieves 72.5% and 72.6% under the same simulation conditions. Finally, the effectiveness of the proposed framework is further demonstrated using measured RADARSAT-2 data, corroborating the results obtained from the simulations.




Abstract:This paper deals with the design of non-coherent jamming strategies capable of ensuring spectral compatibility with friendly radio frequency (RF) emitters. The goal is achieved via a cognitive approach, which, after recognizing the presence of friendly RF systems within the bandwidth of interest (perception), synthesizes a jamming waveform (action) with spectral notches, that allows to interfere exclusively with opposite emissions. Two methods are proposed for the synthesis of the jamming signal. The former leverages optimization techniques for quadratically constrained quadratic problems (QCQP) where each constraint embeds the interference level tolerable by a specific friendly RF system. The latter is a very computationally efficient approach based on simple projections, allowing a control over the spectral notch positions and widths. At the analysis stage, the performance of the devised jamming techniques is firstly numerically analyzed in terms of spectral occupancy and autocorrelation characteristics. The impact of the quantization process involved in the digital-to-analog conversion (DAC) of the jamming waveforms is also examined, with a particular focus on the spectral shaping impairments resulting from reduced DAC resolution. Finally, waveform transmission and reception is experimentally assessed with software defined radio (SDR) devices.




Abstract:This paper deals with the design of slow-time coded waveforms which jointly optimize the detection probability and the measurements accuracy for track maintenance in the presence of colored Gaussian interference. The output signal-to-interference-plus-noise ratio (SINR) and Cram\'er Rao bounds (CRBs) on time delay and Doppler shift are used as figures of merit to accomplish reliable detection as well as accurate measurements. The transmitted code is subject to radar power budget requirements and a similarity constraint. To tackle the resulting non-convex multi-objective optimization problem, a polynomial-time algorithm that integrates scalarization and tensor-based relaxation methods is developed. The corresponding relaxed multi-linear problems are solved by means of the maximum block improvement (MBI) framework, where the optimal solution at each iteration is obtained in closed form. Numeral results demonstrate the trade-off between the detection and the estimation performance, along with the acceptable Doppler robustness achieved by the proposed algorithm.




Abstract:Multi-platform radar networks (MPRNs) are an emerging sensing technology due to their ability to provide improved surveillance capabilities over plain monostatic and bistatic systems. The design of advanced detection, localization, and tracking algorithms for efficient fusion of information obtained through multiple receivers has attracted much attention. However, considerable challenges remain. This article provides an overview on recent unconstrained and constrained localization techniques as well as multitarget tracking (MTT) algorithms tailored to MPRNs. In particular, two data-processing methods are illustrated and explored in detail, one aimed at accomplishing localization tasks the other tracking functions. As to the former, assuming a MPRN with one transmitter and multiple receivers, the angular and range constrained estimator (ARCE) algorithm capitalizes on the knowledge of the transmitter antenna beamwidth. As to the latter, the scalable sum-product algorithm (SPA) based MTT technique is presented. Additionally, a solution to combine ARCE and SPA-based MTT is investigated in order to boost the accuracy of the overall surveillance system. Simulated experiments show the benefit of the combined algorithm in comparison with the conventional baseline SPA-based MTT and the stand-alone ARCE localization, in a 3D sensing scenario.




Abstract:This work considers Maximum Likelihood Estimation (MLE) of a Toeplitz structured covariance matrix. In this regard, an equivalent reformulation of the MLE problem is introduced and two iterative algorithms are proposed for the optimization of the equivalent statistical learning framework. Both the strategies are based on the Majorization Minimization (MM) paradigm and hence enjoy nice properties such as monotonicity and ensured convergence to a stationary point of the equivalent MLE problem. The proposed framework is also extended to deal with MLE of other practically relevant covariance structures, namely, the banded Toeplitz, block Toeplitz, and Toeplitz-block-Toeplitz. Through numerical simulations, it is shown that the new methods provide excellent performance levels in terms of both mean square estimation error (which is very close to the benchmark Cram\'er-Rao Bound (CRB)) and signal-to-interference-plus-noise ratio, especially in comparison with state of the art strategies.
Abstract:Multifunction phased array radars (MPARs) exploit the intrinsic flexibility of their active electronically steered array (ESA) to perform, at the same time, a multitude of operations, such as search, tracking, fire control, classification, and communications. This paper aims at addressing the MPAR resource allocation so as to satisfy the quality of service (QoS) demanded by both line of sight (LOS) and non line of sight (NLOS) search operations along with communications tasks. To this end, the ranges at which the cumulative detection probability and the channel capacity per bandwidth reach a desired value are introduced as task quality metrics for the search and communication functions, respectively. Then, to quantify the satisfaction level of each task, for each of them a bespoke utility function is defined to map the associated quality metric into the corresponding perceived utility. Hence, assigning different priority weights to each task, the resource allocation problem, in terms of radar power aperture (PAP) specification, is formulated as a constrained optimization problem whose solution optimizes the global radar QoS. Several simulations are conducted in scenarios of practical interest to prove the effectiveness of the approach.




Abstract:In this paper, the design of binary sequences exhibiting low values of aperiodic/periodic correlation functions, in terms of Integrated Sidelobe Level (ISL), is pursued via a learning-inspired method. Specifcally, the synthesis of either a single or a burst of codes is addressed, with reference to both Single-Input Single-Output (SISO) and Multiple-Input Multiple-Output (MIMO) radar systems. Two optimization machines, referred to as two-layer and single-layer Binary Sequence Correlation Network (BiSCorN), able to learn actions to design binary sequences with small ISL/Complementary ISL (CISL) for SISO and MIMO systems are proposed. These two networks differ in terms of the capability to synthesize Low-Correlation-Zone (LCZ) sequences and computational cost. Numerical experiments show that proposed techniques can outperform state-of-the-art algorithms for the design of binary sequences and Complementary Sets of Sequences (CSS) in terms of ISL and, interestingly, of Peak Sidelobe Level (PSL).




Abstract:We study the performance of machine learning binary classification techniques in terms of error probabilities. The statistical test is based on the Data-Driven Decision Function (D3F), learned in the training phase, i.e., what is thresholded before the final binary decision is made. Based on large deviations theory, we show that under appropriate conditions the classification error probabilities vanish exponentially, as $\sim \exp\left(-n\,I + o(n) \right)$, where $I$ is the error rate and $n$ is the number of observations available for testing. We also propose two different approximations for the error probability curves, one based on a refined asymptotic formula (often referred to as exact asymptotics), and another one based on the central limit theorem. The theoretical findings are finally tested using the popular MNIST dataset.




Abstract:This paper deals with joint adaptive radar detection and target bearing estimation in the presence of mutual coupling among the array elements. First of all, a suitable model of the signal received by the multichannel radar is developed via a linearization procedure of the Uniform Linear Array (ULA) manifold around the nominal array looking direction together with the use of symmetric Toeplitz structured matrices to represent the mutual coupling effects. Hence, the Generalized Likelihood Ratio Test (GLRT) detector is evaluated under the assumption of homogeneous radar environment. Its computation leverages a specific Minorization-Maximization (MM) framework, with proven convergence properties, to optimize the concentrated likelihood function under the target presence hypothesis. Besides, when the number of active mutual coupling coefficients is unknown, a Multifamily Likelihood Ratio Test (MFLRT) approach is invoked. During the analysis phase, the performance of the new detectors is compared with benchmarks as well as with counterparts available in the open literature which neglect the mutual coupling phenomenon. The results indicate that it is necessary to consider judiciously the coupling effect since the design phase, to guarantee performance levels close to the benchmark.




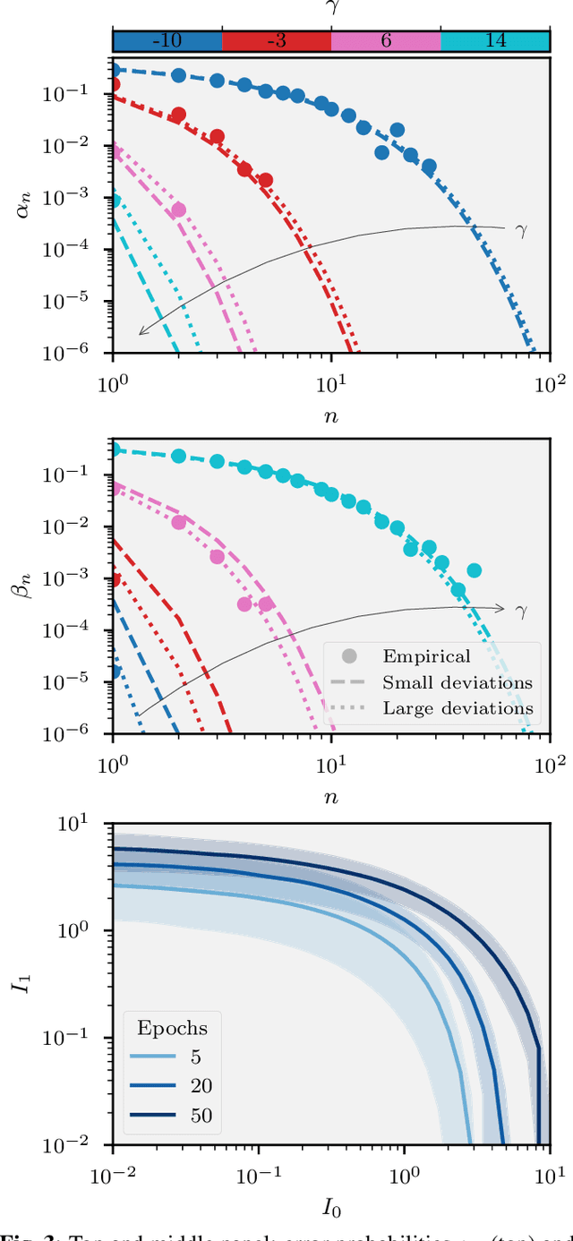
Abstract:We study the performance -- and specifically the rate at which the error probability converges to zero -- of Machine Learning (ML) classification techniques. Leveraging the theory of large deviations, we provide the mathematical conditions for a ML classifier to exhibit error probabilities that vanish exponentially, say $\sim \exp\left(-n\,I + o(n) \right)$, where $n$ is the number of informative observations available for testing (or another relevant parameter, such as the size of the target in an image) and $I$ is the error rate. Such conditions depend on the Fenchel-Legendre transform of the cumulant-generating function of the Data-Driven Decision Function (D3F, i.e., what is thresholded before the final binary decision is made) learned in the training phase. As such, the D3F and, consequently, the related error rate $I$, depend on the given training set, which is assumed of finite size. Interestingly, these conditions can be verified and tested numerically exploiting the available dataset, or a synthetic dataset, generated according to the available information on the underlying statistical model. In other words, the classification error probability convergence to zero and its rate can be computed on a portion of the dataset available for training. Coherently with the large deviations theory, we can also establish the convergence, for $n$ large enough, of the normalized D3F statistic to a Gaussian distribution. This property is exploited to set a desired asymptotic false alarm probability, which empirically turns out to be accurate even for quite realistic values of $n$. Furthermore, approximate error probability curves $\sim \zeta_n \exp\left(-n\,I \right)$ are provided, thanks to the refined asymptotic derivation (often referred to as exact asymptotics), where $\zeta_n$ represents the most representative sub-exponential terms of the error probabilities.