



Abstract:In this work, we estimate the intrinsic dimension (iD) of the Radio Galaxy Zoo (RGZ) dataset using a score-based diffusion model. We examine how the iD estimates vary as a function of Bayesian neural network (BNN) energy scores, which measure how similar the radio sources are to the MiraBest subset of the RGZ dataset. We find that out-of-distribution sources exhibit higher iD values, and that the overall iD for RGZ exceeds those typically reported for natural image datasets. Furthermore, we analyse how iD varies across Fanaroff-Riley (FR) morphological classes and as a function of the signal-to-noise ratio (SNR). While no relationship is found between FR I and FR II classes, a weak trend toward higher SNR at lower iD. Future work using the RGZ dataset could make use of the relationship between iD and energy scores to quantitatively study and improve the representations learned by various self-supervised learning algorithms.




Abstract:Inferring sky surface brightness distributions from noisy interferometric data in a principled statistical framework has been a key challenge in radio astronomy. In this work, we introduce Imaging for Radio Interferometry with Score-based models (IRIS). We use score-based models trained on optical images of galaxies as an expressive prior in combination with a Gaussian likelihood in the uv-space to infer images of protoplanetary disks from visibility data of the DSHARP survey conducted by ALMA. We demonstrate the advantages of this framework compared with traditional radio interferometry imaging algorithms, showing that it produces plausible posterior samples despite the use of a misspecified galaxy prior. Through coverage testing on simulations, we empirically evaluate the accuracy of this approach to generate calibrated posterior samples.


Abstract:In this work we introduce a novel approach to the pulsar classification problem in time-domain radio astronomy using a Born machine, often referred to as a quantum neural network. Using a single-qubit architecture, we show that the pulsar classification problem maps well to the Bloch sphere and that comparable accuracies to more classical machine learning approaches are achievable. We introduce a novel single-qubit encoding for the pulsar data used in this work and show that this performs comparably to a multi-qubit QAOA encoding.




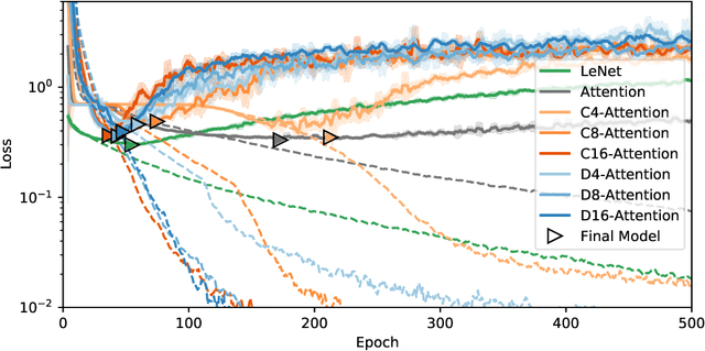
Abstract:In this work we introduce group-equivariant self-attention models to address the problem of explainable radio galaxy classification in astronomy. We evaluate various orders of both cyclic and dihedral equivariance, and show that including equivariance as a prior both reduces the number of epochs required to fit the data and results in improved performance. We highlight the benefits of equivariance when using self-attention as an explainable model and illustrate how equivariant models statistically attend the same features in their classifications as human astronomers.




Abstract:In this work we use variational inference to quantify the degree of epistemic uncertainty in model predictions of radio galaxy classification and show that the level of model posterior variance for individual test samples is correlated with human uncertainty when labelling radio galaxies. We explore the model performance and uncertainty calibration for a variety of different weight priors and suggest that a sparse prior produces more well-calibrated uncertainty estimates. Using the posterior distributions for individual weights, we show that signal-to-noise ratio (SNR) ranking allows pruning of the fully-connected layers to the level of 30% without significant loss of performance, and that this pruning increases the predictive uncertainty in the model. Finally we show that, like other work in this field, we experience a cold posterior effect. We examine whether adapting the cost function in our model to accommodate model misspecification can compensate for this effect, but find that it does not make a significant difference. We also examine the effect of principled data augmentation and find that it improves upon the baseline but does not compensate for the observed effect fully. We interpret this as the cold posterior effect being due to the overly effective curation of our training sample leading to likelihood misspecification, and raise this as a potential issue for Bayesian deep learning approaches to radio galaxy classification in future.