Abstract:Large Language Models (LLMs) have pushed the frontier of artificial intelligence but are comprised of hundreds of billions of parameters and operations. For faster inference latency, LLMs are deployed on multiple hardware accelerators through various Model Parallelism strategies. Our paper looks into the details on one such strategy - Tensor Parallel - and proposes to reduce latency by compressing inter-accelerator communication. We leverage fine grained quantization techniques to compress selected activations by 3.5 - 4.5x. Our proposed method leads up to 2x reduction of time-to-first-token (TTFT) with negligible model performance degradation.




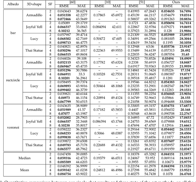
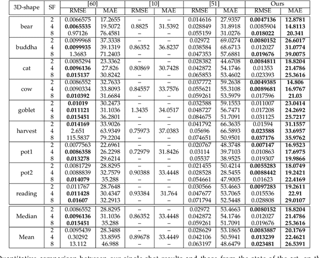
Abstract:This study explores the use of photometric techniques (shape-from-shading and uncalibrated photometric stereo) for upsampling the low-resolution depth map from an RGB-D sensor to the higher resolution of the companion RGB image. A single-shot variational approach is first put forward, which is effective as long as the target's reflectance is piecewise-constant. It is then shown that this dependency upon a specific reflectance model can be relaxed by focusing on a specific class of objects (e.g., faces), and delegate reflectance estimation to a deep neural network. A multi-shots strategy based on randomly varying lighting conditions is eventually discussed. It requires no training or prior on the reflectance, yet this comes at the price of a dedicated acquisition setup. Both quantitative and qualitative evaluations illustrate the effectiveness of the proposed methods on synthetic and real-world scenarios.