Abstract:Spiking neural networks (SNNs) emulated on dedicated neuromorphic accelerators promise to offer energy-efficient signal processing. However, the neuromorphic advantage over traditional algorithms still remains to be demonstrated in real-world applications. Here, we describe an intensity-modulation, direct-detection (IM/DD) task that is relevant to high-speed optical communication systems used in data centers. Compared to other machine learning-inspired benchmarks, the task offers several advantages. First, the dataset is inherently time-dependent, i.e., there is a time dimension that can be natively mapped to the dynamic evolution of SNNs. Second, small-scale SNNs can achieve the target accuracy required by technical communication standards. Third, due to the small scale and the defined target accuracy, the task facilitates the optimization for real-world aspects, such as energy efficiency, resource requirements, and system complexity.



Abstract:In this paper, we highlight recent advances in the use of machine learning for implementing equalizers for optical communications. We highlight both algorithmic advances as well as implementation aspects using conventional and neuromorphic hardware.




Abstract:Spiking neural networks (SNNs) are neural networks that enable energy-efficient signal processing due to their event-based nature. This paper proposes a novel decoding algorithm for low-density parity-check (LDPC) codes that integrates SNNs into belief propagation (BP) decoding by approximating the check node update equations using SNNs. For the (273,191) and (1023,781) finite-geometry LDPC code, the proposed decoder outperforms sum-product decoder at high signal-to-noise ratios (SNRs). The decoder achieves a similar bit error rate to normalized sum-product decoding with successive relaxation. Furthermore, the novel decoding operates without requiring knowledge of the SNR, making it robust to SNR mismatch.



Abstract:We propose an energy-efficient equalizer for IM/DD systems based on spiking neural networks. We optimize a neural spike encoding that boosts the equalizer's performance while decreasing energy consumption.



Abstract:A spiking neural network (SNN) equalizer with a decision feedback structure is applied to an IM/DD link with various parameters. The SNN outperforms linear and artificial neural network (ANN) based equalizers.




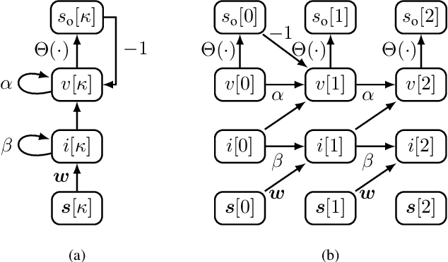
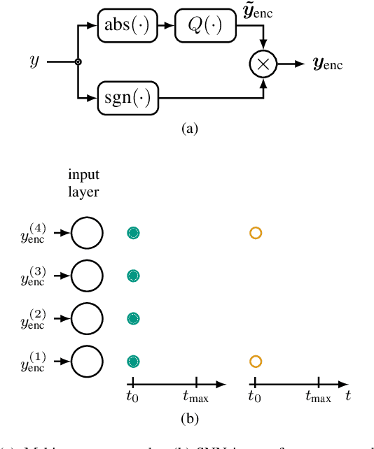
Abstract:In the past years, artificial neural networks (ANNs) have become the de-facto standard to solve tasks in communications engineering that are difficult to solve with traditional methods. In parallel, the artificial intelligence community drives its research to biology-inspired, brain-like spiking neural networks (SNNs), which promise extremely energy-efficient computing. In this paper, we investigate the use of SNNs in the context of channel equalization for ultra-low complexity receivers. We propose an SNN-based equalizer with a feedback structure akin to the decision feedback equalizer (DFE). For conversion of real-world data into spike signals we introduce a novel ternary encoding and compare it with traditional log-scale encoding. We show that our approach clearly outperforms conventional linear equalizers for three different exemplary channels. We highlight that mainly the conversion of the channel output to spikes introduces a small performance penalty. The proposed SNN with a decision feedback structure enables the path to competitive energy-efficient transceivers.