



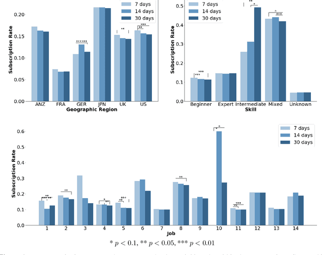
Abstract:Free trial promotions, where users are given a limited time to try the product for free, are a commonly used customer acquisition strategy in the Software as a Service (SaaS) industry. We examine how trial length affect users' responsiveness, and seek to quantify the gains from personalizing the length of the free trial promotions. Our data come from a large-scale field experiment conducted by a leading SaaS firm, where new users were randomly assigned to 7, 14, or 30 days of free trial. First, we show that the 7-day trial to all consumers is the best uniform policy, with a 5.59% increase in subscriptions. Next, we develop a three-pronged framework for personalized policy design and evaluation. Using our framework, we develop seven personalized targeting policies based on linear regression, lasso, CART, random forest, XGBoost, causal tree, and causal forest, and evaluate their performances using the Inverse Propensity Score (IPS) estimator. We find that the personalized policy based on lasso performs the best, followed by the one based on XGBoost. In contrast, policies based on causal tree and causal forest perform poorly. We then link a method's effectiveness in designing policy with its ability to personalize the treatment sufficiently without over-fitting (i.e., capture spurious heterogeneity). Next, we segment consumers based on their optimal trial length and derive some substantive insights on the drivers of user behavior in this context. Finally, we show that policies designed to maximize short-run conversions also perform well on long-run outcomes such as consumer loyalty and profitability.




Abstract:Customers are usually exposed to online digital advertisement channels, such as email marketing, display advertising, paid search engine marketing, along their way to purchase or subscribe products( aka. conversion). The marketers track all the customer journey data and try to measure the effectiveness of each advertising channel. The inference about the influence of each channel plays an important role in budget allocation and inventory pricing decisions. Several simplistic rule-based strategies and data-driven algorithmic strategies have been widely used in marketing field, but they do not address the issues, such as channel interaction, time dependency, user characteristics. In this paper, we propose a novel attribution algorithm based on deep learning to assess the impact of each advertising channel. We present Deep Neural Net With Attention multi-touch attribution model (DNAMTA) model in a supervised learning fashion of predicting if a series of events leads to conversion, and it leads us to have a deep understanding of the dynamic interaction effects between media channels. DNAMTA also incorporates user-context information, such as user demographics and behavior, as control variables to reduce the estimation biases of media effects. We used computational experiment of large real world marketing dataset to demonstrate that our proposed model is superior to existing methods in both conversion prediction and media channel influence evaluation.




Abstract:Predicting keywords performance, such as number of impressions, click-through rate (CTR), conversion rate (CVR), revenue per click (RPC), and cost per click (CPC), is critical for sponsored search in the online advertising industry. An interesting phenomenon is that, despite the size of the overall data, the data are very sparse at the individual unit level. To overcome the sparsity and leverage hierarchical information across the data structure, we propose a Dynamic Hierarchical Empirical Bayesian (DHEB) model that dynamically determines the hierarchy through a data-driven process and provides shrinkage-based estimations. Our method is also equipped with an efficient empirical approach to derive inferences through the hierarchy. We evaluate the proposed method in both simulated and real-world datasets and compare to several competitive models. The results favor the proposed method among all comparisons in terms of both accuracy and efficiency. In the end, we design a two-phase system to serve prediction in real time.