



Abstract:Many methods have been proposed for detecting emerging events in text streams using topic modeling. However, these methods have shortcomings that make them unsuitable for rapid detection of locally emerging events on massive text streams. We describe Spatially Compact Semantic Scan (SCSS) that has been developed specifically to overcome the shortcomings of current methods in detecting new spatially compact events in text streams. SCSS employs alternating optimization between using semantic scan to estimate contrastive foreground topics in documents, and discovering spatial neighborhoods with high occurrence of documents containing the foreground topics. We evaluate our method on Emergency Department chief complaints dataset (ED dataset) to verify the effectiveness of our method in detecting real-world disease outbreaks from free-text ED chief complaint data.




Abstract:Gaussian graphical models (GGMs) are probabilistic tools of choice for analyzing conditional dependencies between variables in complex systems. Finding changepoints in the structural evolution of a GGM is therefore essential to detecting anomalies in the underlying system modeled by the GGM. In order to detect structural anomalies in a GGM, we consider the problem of estimating changes in the precision matrix of the corresponding Gaussian distribution. We take a two-step approach to solving this problem:- (i) estimating a background precision matrix using system observations from the past without any anomalies, and (ii) estimating a foreground precision matrix using a sliding temporal window during anomaly monitoring. Our primary contribution is in estimating the foreground precision using a novel contrastive inverse covariance estimation procedure. In order to accurately learn only the structural changes to the GGM, we maximize a penalized log-likelihood where the penalty is the $l_1$ norm of difference between the foreground precision being estimated and the already learned background precision. We modify the alternating direction method of multipliers (ADMM) algorithm for sparse inverse covariance estimation to perform contrastive estimation of the foreground precision matrix. Our results on simulated GGM data show significant improvement in precision and recall for detecting structural changes to the GGM, compared to a non-contrastive sliding window baseline.




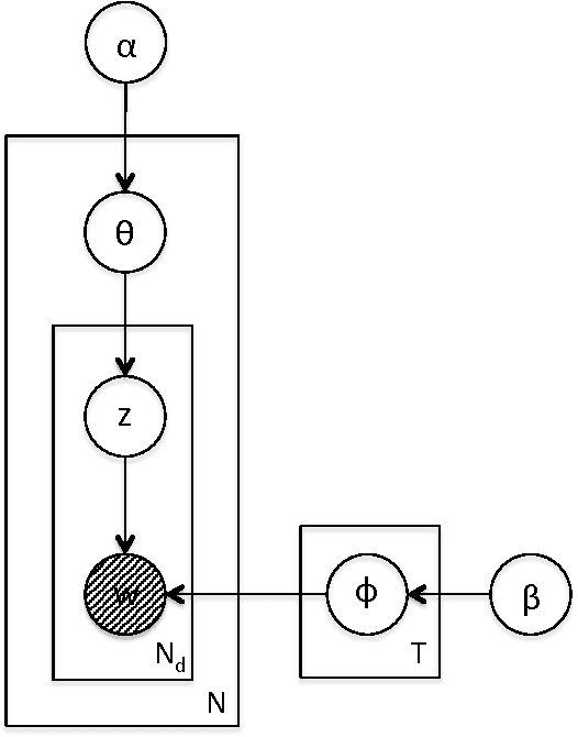
Abstract:Early detection and precise characterization of emerging topics in text streams can be highly useful in applications such as timely and targeted public health interventions and discovering evolving regional business trends. Many methods have been proposed for detecting emerging events in text streams using topic modeling. However, these methods have numerous shortcomings that make them unsuitable for rapid detection of locally emerging events on massive text streams. In this paper, we describe Semantic Scan (SS) that has been developed specifically to overcome these shortcomings in detecting new spatially compact events in text streams. Semantic Scan integrates novel contrastive topic modeling with online document assignment and principled likelihood ratio-based spatial scanning to identify emerging events with unexpected patterns of keywords hidden in text streams. This enables more timely and accurate detection and characterization of anomalous, spatially localized emerging events. Semantic Scan does not require manual intervention or labeled training data, and is robust to noise in real-world text data since it identifies anomalous text patterns that occur in a cluster of new documents rather than an anomaly in a single new document. We compare Semantic Scan to alternative state-of-the-art methods such as Topics over Time, Online LDA, and Labeled LDA on two real-world tasks: (i) a disease surveillance task monitoring free-text Emergency Department chief complaints in Allegheny County, and (ii) an emerging business trend detection task based on Yelp reviews. On both tasks, we find that Semantic Scan provides significantly better event detection and characterization accuracy than competing approaches, while providing up to an order of magnitude speedup.