



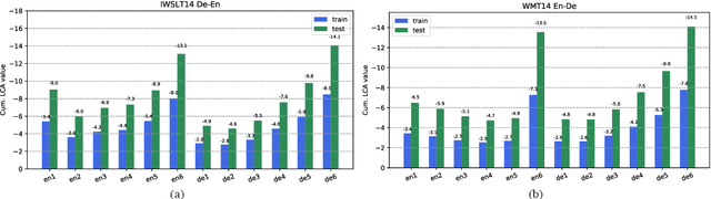
Despite the great success of NMT, there still remains a severe challenge: it is hard to interpret the internal dynamics during its training process. In this paper we propose to understand learning dynamics of NMT by using a recent proposed technique named Loss Change Allocation (LCA)~\citep{lan-2019-loss-change-allocation}. As LCA requires calculating the gradient on an entire dataset for each update, we instead present an approximate to put it into practice in NMT scenario. %motivated by the lesson from sgd. Our simulated experiment shows that such approximate calculation is efficient and is empirically proved to deliver consistent results to the brute-force implementation. In particular, extensive experiments on two standard translation benchmark datasets reveal some valuable findings.