



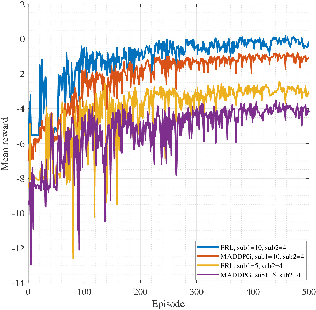
In this work, we adopt the emerging technology of mobile edge computing (MEC) in the Unmanned aerial vehicles (UAVs) for communication-computing systems, to optimize the age of information (AoI) in the network. We assume that tasks are processed jointly on UAVs and BS to enhance edge performance with limited connectivity and computing. Using UAVs and BS jointly with MEC can reduce AoI on the network. To maintain the freshness of the tasks, we formulate the AoI minimization in two-hop communication framework, the first hop at the UAVs and the second hop at the BS. To approach the challenge, we optimize the problem using a deep reinforcement learning (DRL) framework, called federated reinforcement learning (FRL). In our network we have two types of agents with different states and actions but with the same policy. Our FRL enables us to handle the two-step AoI minimization and UAV trajectory problems. In addition, we compare our proposed algorithm, which has a centralized processing unit to update the weights, with fully decentralized multi-agent deep deterministic policy gradient (MADDPG), which enhances the agent's performance. As a result, the suggested algorithm outperforms the MADDPG by about 38\%