



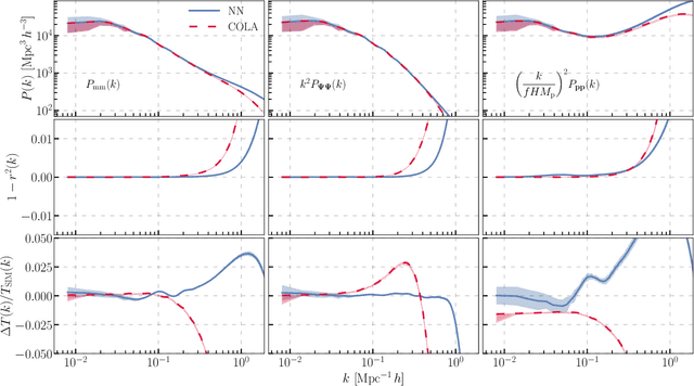
We train a neural network model to predict the full phase space evolution of cosmological N-body simulations. Its success implies that the neural network model is accurately approximating the Green's function expansion that relates the initial conditions of the simulations to its outcome at later times in the deeply nonlinear regime. We test the accuracy of this approximation by assessing its performance on well understood simple cases that have either known exact solutions or well understood expansions. These scenarios include spherical configurations, isolated plane waves, and two interacting plane waves: initial conditions that are very different from the Gaussian random fields used for training. We find our model generalizes well to these well understood scenarios, demonstrating that the networks have inferred general physical principles and learned the nonlinear mode couplings from the complex, random Gaussian training data. These tests also provide a useful diagnostic for finding the model's strengths and weaknesses, and identifying strategies for model improvement. We also test the model on initial conditions that contain only transverse modes, a family of modes that differ not only in their phases but also in their evolution from the longitudinal growing modes used in the training set. When the network encounters these initial conditions that are orthogonal to the training set, the model fails completely. In addition to these simple configurations, we evaluate the model's predictions for the density, displacement, and momentum power spectra with standard initial conditions for N-body simulations. We compare these summary statistics against N-body results and an approximate, fast simulation method called COLA. Our model achieves percent level accuracy at nonlinear scales of $k\sim 1\ \mathrm{Mpc}^{-1}\, h$, representing a significant improvement over COLA.