



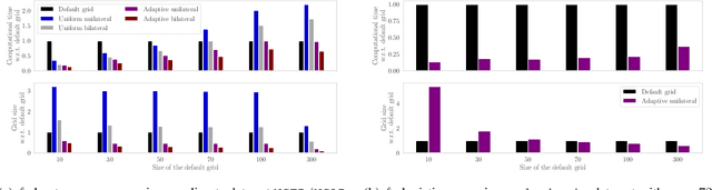
Popular machine learning estimators involve regularization parameters that can be challenging to tune, and standard strategies rely on grid search for this task. In this paper, we revisit the techniques of approximating the regularization path up to predefined tolerance $\epsilon$ in a unified framework and show that its complexity is $O(1/\sqrt[d]{\epsilon})$ for uniformly convex loss of order $d>0$ and $O(1/\sqrt{\epsilon})$ for Generalized Self-Concordant functions. This framework encompasses least-squares but also logistic regression (a case that as far as we know was not handled as precisely by previous works). We leverage our technique to provide refined bounds on the validation error as well as a practical algorithm for hyperparameter tuning. The later has global convergence guarantee when targeting a prescribed accuracy on the validation set. Last but not least, our approach helps relieving the practitioner from the (often neglected) task of selecting a stopping criterion when optimizing over the training set: our method automatically calibrates it based on the targeted accuracy on the validation set.