



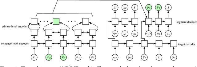
In this paper, we propose Neural Phrase-to-Phrase Machine Translation (NP$^2$MT). Our model uses a phrase attention mechanism to discover relevant input (source) segments that are used by a decoder to generate output (target) phrases. We also design an efficient dynamic programming algorithm to decode segments that allows the model to be trained faster than the existing neural phrase-based machine translation method by Huang et al. (2018). Furthermore, our method can naturally integrate with external phrase dictionaries during decoding. Empirical experiments show that our method achieves comparable performance with the state-of-the art methods on benchmark datasets. However, when the training and testing data are from different distributions or domains, our method performs better.