



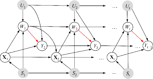
Causal inference from longitudinal observational data is a challenging problem due to the difficulty in correctly identifying the time-dependent confounders, especially in the presence of latent time-dependent confounders. Instrumental variable (IV) is a powerful tool for addressing the latent confounders issue, but the traditional IV technique cannot deal with latent time-dependent confounders in longitudinal studies. In this work, we propose a novel Time-dependent Instrumental Factor Model (TIFM) for time-varying causal effect estimation from data with latent time-dependent confounders. At each time-step, the proposed TIFM method employs the Recurrent Neural Network (RNN) architecture to infer latent IV, and then uses the inferred latent IV factor for addressing the confounding bias caused by the latent time-dependent confounders. We provide a theoretical analysis for the proposed TIFM method regarding causal effect estimation in longitudinal data. Extensive evaluation with synthetic datasets demonstrates the effectiveness of TIFM in addressing causal effect estimation over time. We further apply TIFM to a climate dataset to showcase the potential of the proposed method in tackling real-world problems.