



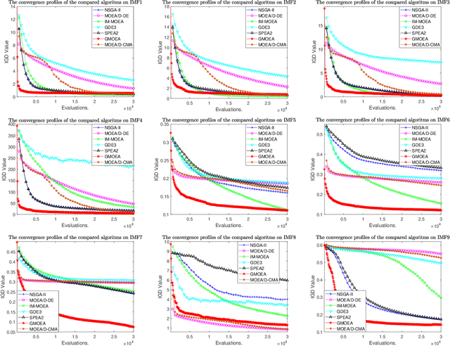
Recently, more and more works have proposed to drive evolutionary algorithms using machine learning models. Usually, the performance of such model based evolutionary algorithms is highly dependent on the training qualities of the adopted models. Since it usually requires a certain amount of data (i.e. the candidate solutions generated by the algorithms) for model training, the performance deteriorates rapidly with the increase of the problem scales, due to the curse of dimensionality. To address this issue, we propose a multi-objective evolutionary algorithm driven by the generative adversarial networks (GANs). At each generation of the proposed algorithm, the parent solutions are first classified into real and fake samples to train the GANs; then the offspring solutions are sampled by the trained GANs. Thanks to the powerful generative ability of the GANs, our proposed algorithm is capable of generating promising offspring solutions in high-dimensional decision space with limited training data. The proposed algorithm is tested on 10 benchmark problems with up to 200 decision variables. Experimental results on these test problems demonstrate the effectiveness of the proposed algorithm.