



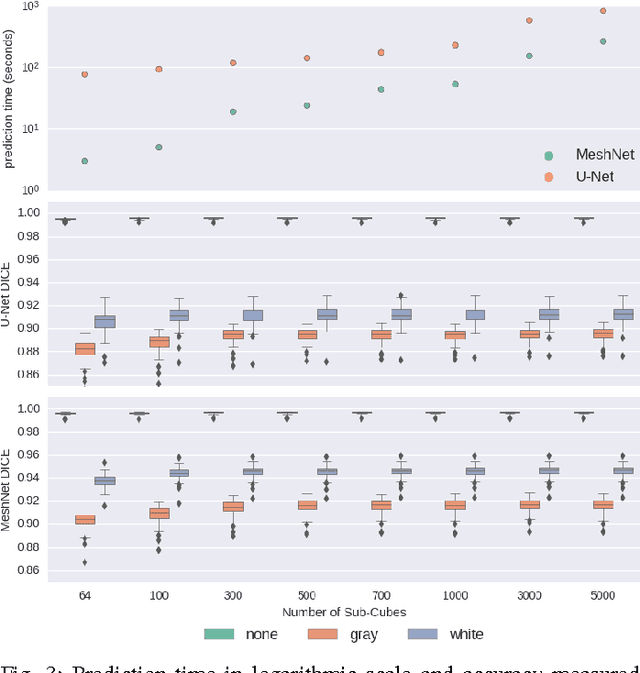
Segmenting a structural magnetic resonance imaging (MRI) scan is an important pre-processing step for analytic procedures and subsequent inferences about longitudinal tissue changes. Manual segmentation defines the current gold standard in quality but is prohibitively expensive. Automatic approaches are computationally intensive, incredibly slow at scale, and error prone due to usually involving many potentially faulty intermediate steps. In order to streamline the segmentation, we introduce a deep learning model that is based on volumetric dilated convolutions, subsequently reducing both processing time and errors. Compared to its competitors, the model has a reduced set of parameters and thus is easier to train and much faster to execute. The contrast in performance between the dilated network and its competitors becomes obvious when both are tested on a large dataset of unprocessed human brain volumes. The dilated network consistently outperforms not only another state-of-the-art deep learning approach, the up convolutional network, but also the ground truth on which it was trained. Not only can the incredible speed of our model make large scale analyses much easier but we also believe it has great potential in a clinical setting where, with little to no substantial delay, a patient and provider can go over test results.