



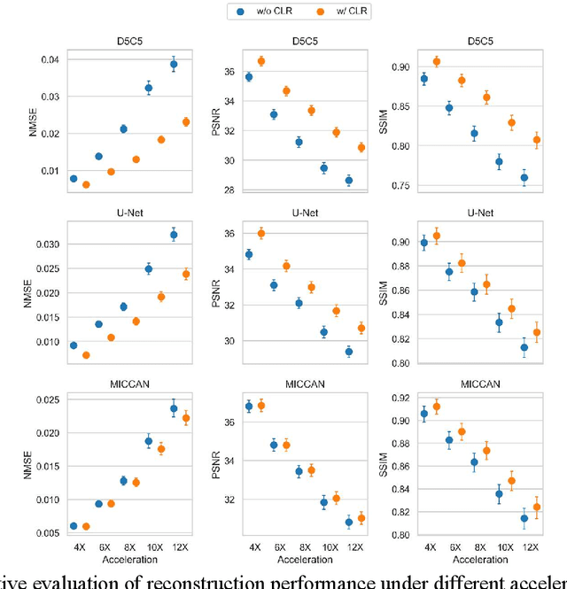
Purpose: We propose a novel contrastive learning latent space representation for MRI datasets with partially acquired scans. We show that this latent space can be utilized for accelerated MR image reconstruction. Theory and Methods: Our novel framework, referred to as COLADA (stands for Contrastive Learning for highly accelerated MR image reconstruction), maximizes the mutual information between differently accelerated images of an MRI scan by using self-supervised contrastive learning. In other words, it attempts to "pull" the latent representations of the same scan together and "push" the latent representations of other scans away. The generated MRI latent space is subsequently utilized for MR image reconstruction and the performance was assessed in comparison to several baseline deep learning reconstruction methods. Furthermore, the quality of the proposed latent space representation was analyzed using Alignment and Uniformity. Results: COLADA comprehensively outperformed other reconstruction methods with robustness to variations in undersampling patterns, pathological abnormalities, and noise in k-space during inference. COLADA proved the high quality of reconstruction on unseen data with minimal fine-tuning. The analysis of representation quality suggests that the contrastive features produced by COLADA are optimally distributed in latent space. Conclusion: To the best of our knowledge, this is the first attempt to utilize contrastive learning on differently accelerated images for MR image reconstruction. The proposed latent space representation has practical usage due to a large number of existing partially sampled datasets. This implies the possibility of exploring self-supervised contrastive learning further to enhance the latent space of MRI for image reconstruction.