



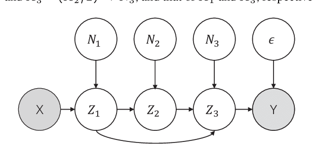
Identification of causal direction between a causal-effect pair from observed data has recently attracted much attention. Various methods based on functional causal models have been proposed to solve this problem, by assuming the causal process satisfies some (structural) constraints and showing that the reverse direction violates such constraints. The nonlinear additive noise model has been demonstrated to be effective for this purpose, but the model class is not transitive--even if each direct causal relation follows this model, indirect causal influences, which result from omitted intermediate causal variables and are frequently encountered in practice, do not necessarily follow the model constraints; as a consequence, the nonlinear additive noise model may fail to correctly discover causal direction. In this work, we propose a cascade nonlinear additive noise model to represent such causal influences--each direct causal relation follows the nonlinear additive noise model but we observe only the initial cause and final effect. We further propose a method to estimate the model, including the unmeasured intermediate variables, from data, under the variational auto-encoder framework. Our theoretical results show that with our model, causal direction is identifiable under suitable technical conditions on the data generation process. Simulation results illustrate the power of the proposed method in identifying indirect causal relations across various settings, and experimental results on real data suggest that the proposed model and method greatly extend the applicability of causal discovery based on functional causal models in nonlinear cases.