



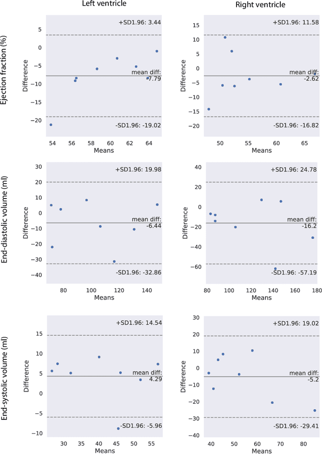
Retrospectively gated cine (retro-cine) MRI is the clinical standard for cardiac functional analysis. Deep learning (DL) based methods have been proposed for the reconstruction of highly undersampled MRI data and show superior image quality and magnitude faster reconstruction time than CS-based methods. Nevertheless, it remains unclear whether DL reconstruction is suitable for cardiac function analysis. To address this question, in this study we evaluate and compare the cardiac functional values (EDV, ESV and EF for LV and RV, respectively) obtained from highly accelerated MRI acquisition using DL based reconstruction algorithm (DL-cine) with values from CS-cine and conventional retro-cine. To the best of our knowledge, this is the first work to evaluate the cine MRI with deep learning reconstruction for cardiac function analysis and compare it with other conventional methods. The cardiac functional values obtained from cine MRI with deep learning reconstruction are consistent with values from clinical standard retro-cine MRI.