



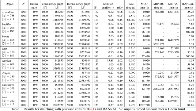
A popular paradigm for 3D point cloud registration is by extracting 3D keypoint correspondences, then estimating the registration function from the correspondences using a robust algorithm. However, many existing 3D keypoint techniques tend to produce large proportions of erroneous correspondences or outliers, which significantly increases the cost of robust estimation. An alternative approach is to directly search for the subset of correspondences that are pairwise consistent, without optimising the registration function. This gives rise to the combinatorial problem of matching with pairwise constraints. In this paper, we propose a very efficient maximum clique algorithm to solve matching with pairwise constraints. Our technique combines tree searching with efficient bounding and pruning based on graph colouring. We demonstrate that, despite the theoretical intractability, many real problem instances can be solved exactly and quickly (seconds to minutes) with our algorithm, which makes our approach an excellent alternative to standard robust techniques for 3D registration.