Abstract:Three-dimensional reconstruction of the spine under weight-bearing conditions from biplanar X-ray images is of great importance for the clinical assessment of spinal diseases. However, the current fully automated reconstruction methods have low accuracy and fail to meet the clinical application standards. This study developed and validated a fully automated method for high-accuracy 3D reconstruction of the lumbar spine from biplanar X-ray images. The method involves lumbar decomposition and landmark detection from the raw X-ray images, followed by a deformable model and landmark-weighted 2D-3D registration approach. The reconstruction accuracy was validated by the gold standard obtained through the registration of CT-segmented vertebral models with the biplanar X-ray images. The proposed method achieved a 3D reconstruction accuracy of 0.80 mm, representing a significant improvement over the mainstream approaches. This study will contribute to the clinical diagnosis of lumbar in weight-bearing positions.



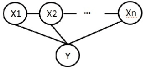
Abstract:The standard training method of Conditional Random Fields (CRFs) is very slow for large-scale applications. As an alternative, piecewise training divides the full graph into pieces, trains them independently, and combines the learned weights at test time. In this paper, we present \emph{separate} training for undirected models based on the novel Co-occurrence Rate Factorization (CR-F). Separate training is a local training method. In contrast to MEMMs, separate training is unaffected by the label bias problem. Experiments show that separate training (i) is unaffected by the label bias problem; (ii) reduces the training time from weeks to seconds; and (iii) obtains competitive results to the standard and piecewise training on linear-chain CRFs.