Picture for Andreas Wombacher

Andreas Wombacher

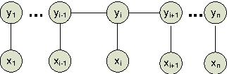
Separate Training for Conditional Random Fields Using Co-occurrence Rate Factorization

Add code
Dec 04, 2012
Figure 1 for Separate Training for Conditional Random Fields Using Co-occurrence Rate Factorization
Figure 2 for Separate Training for Conditional Random Fields Using Co-occurrence Rate Factorization
Figure 3 for Separate Training for Conditional Random Fields Using Co-occurrence Rate Factorization
Viaarxiv icon