



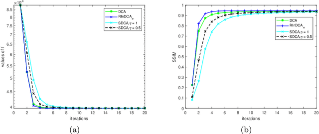
Abstract:We consider the difference-of-convex (DC) programming problems whose objective function is level-bounded. The classical DC algorithm (DCA) is well-known for solving this kind of problems, which returns a critical point. Recently, de Oliveira and Tcheo incorporated the inertial-force procedure into DCA (InDCA) for potential acceleration and preventing the algorithm from converging to a critical point which is not d(directional)-stationary. In this paper, based on InDCA, we propose two refined inertial DCA (RInDCA) with enlarged inertial step-sizes for better acceleration. We demonstrate the subsequential convergence of our refined versions to a critical point. In addition, by assuming the Kurdyka-Lojasiewicz (KL) property of the objective function, we establish the sequential convergence of RInDCA. Numerical simulations on image restoration problem show the benefit of enlarged step-size.




Abstract:Sentence compression is an important problem in natural language processing with wide applications in text summarization, search engine and human-AI interaction system etc. In this paper, we design a hybrid extractive sentence compression model combining a probability language model and a parse tree language model for compressing sentences by guaranteeing the syntax correctness of the compression results. Our compression model is formulated as an integer linear programming problem, which can be rewritten as a Difference-of-Convex (DC) programming problem based on the exact penalty technique. We use a well known efficient DC algorithm -- DCA to handle the penalized problem for local optimal solutions. Then a hybrid global optimization algorithm combining DCA with a parallel branch-and-bound framework, namely PDCABB, is used for finding global optimal solutions. Numerical results demonstrate that our sentence compression model can provide excellent compression results evaluated by F-score, and indicate that PDCABB is a promising algorithm for solving our sentence compression model.



Abstract:Sentence compression is an important problem in natural language processing. In this paper, we firstly establish a new sentence compression model based on the probability model and the parse tree model. Our sentence compression model is equivalent to an integer linear program (ILP) which can both guarantee the syntax correctness of the compression and save the main meaning. We propose using a DC (Difference of convex) programming approach (DCA) for finding local optimal solution of our model. Combing DCA with a parallel-branch-and-bound framework, we can find global optimal solution. Numerical results demonstrate the good quality of our sentence compression model and the excellent performance of our proposed solution algorithm.